🇳🇴 🇬🇧 🇩🇪 🇨🇿 🇫🇮

Meteor, poloha: Kviteseid 2025-07-27 23:57:38 UTC

Soubor KML  |  InteraktivnĂ­ mapa

Mapa zobrazuje dráhy meteoru. Světlejší čáry ukazují směry od pozorovacích stanic při objevení se meteoru a tmavší čáry, kde byl naposledy viděn. Modrá šipka značí viditelnou dráhu meteoru.

static map
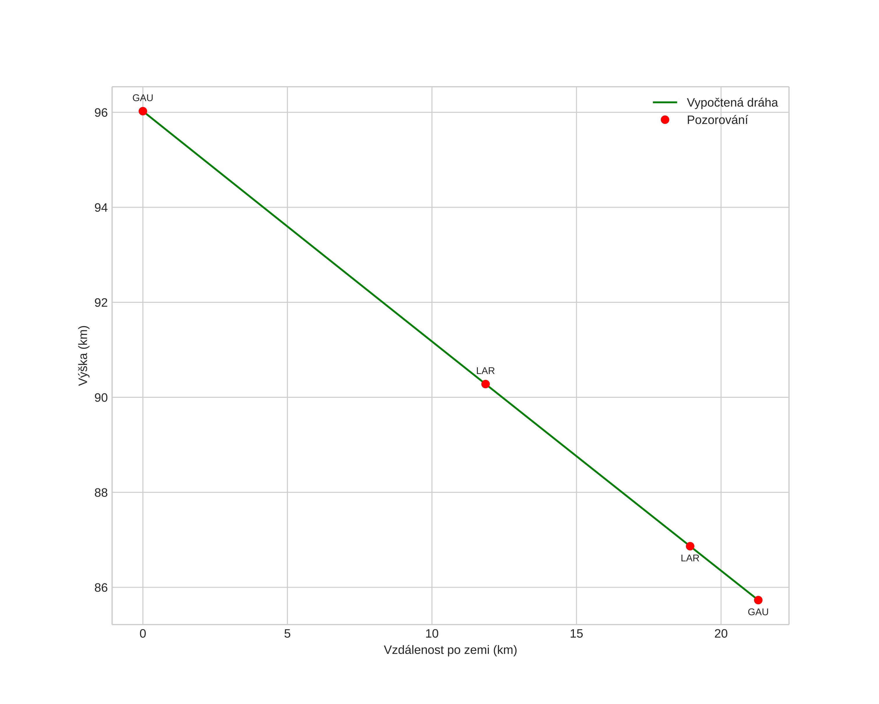
height profile
Atmosférická dráha meteoru:
Počáteční výška: 95,6 km
Konečná výška: 84,8 km
Počáteční poloha: 59,348N 8,277E
Konečná poloha: 59,551N 8,340E
Směr: 9,1°
Sklon: 25,3°
VstupnĂ­ rychlost: 21,4 km/s
Rektascenze radiantu: 20:15 (303,8°)
Deklinace radiantu: -10,7°
MeteorickĂ˝ roj: alpha-capricornidene
Elementy dráhy meteoroidu:
Vzdálenost v periheliu: 0,637 AU
Excentricita: 0,627
Sklon dráhy: 5,4°
Délka vzestupného uzlu: 124,9°
Argument perihelia: 268,0°
Střední anomálie: 337,7°
Epocha: 2025 JUL 27 23:57:38
orbit plot

NeinteraktivnĂ­ graf | InteraktivnĂ­ graf

position vs time
speed and acceleration