🇳🇴 🇬🇧 🇩🇪 🇨🇿 🇫🇮

Meteor, poloha: Olofstorp 2025-07-30 23:48:19 UTC

Soubor KML  |  InteraktivnĂ­ mapa

Mapa zobrazuje dráhy meteoru. Světlejší čáry ukazují směry od pozorovacích stanic při objevení se meteoru a tmavší čáry, kde byl naposledy viděn. Modrá šipka značí viditelnou dráhu meteoru.

static map
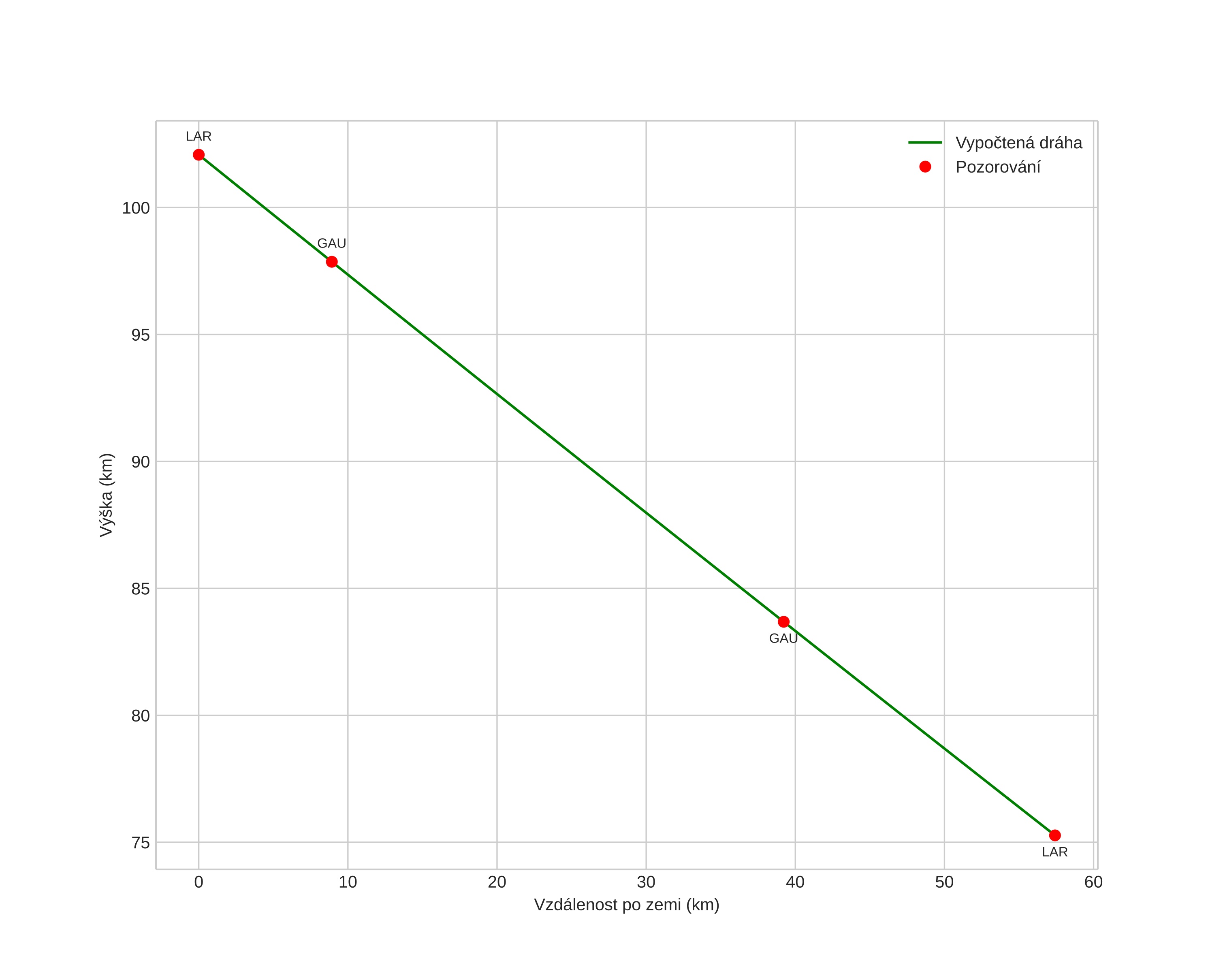
height profile
Atmosférická dráha meteoru:
Počáteční výška: 113,9 km
Konečná výška: 75,2 km
Počáteční poloha: 58,288N 15,434E
Konečná poloha: 58,268N 13,975E
Směr: 269,1°
Sklon: 24,4°
VstupnĂ­ rychlost: 72,5 km/s
Rektascenze radiantu: 02:33 (38,4°)
Deklinace radiantu: 20,6°
MeteorickĂ˝ roj: sporadickĂ˝
Elementy dráhy meteoroidu:
Vzdálenost v periheliu: 0,997 AU
Excentricita: 1,059
Sklon dráhy: 171,1°
Délka vzestupného uzlu: 127,7°
Argument perihelia: 164,8°
Střední anomálie: 0,2°
Epocha: 2025 JUL 30 23:48:19
orbit plot

NeinteraktivnĂ­ graf | InteraktivnĂ­ graf

position vs time
speed and acceleration

Gaustatoppen (GAU) cam3


gnomonic
Videa
• Gnomonická
• Gnomonická se souřadnicemi
• Původní
• Původní se souřadnicemi
Obrázky
• Gnomonická
• Gnomonická se souřadnicemi
• Původní
• Původní se souřadnicemi
Textové soubory
• Detekce
• Pozorování
• Souřadnice
• Protokol
Jasnost