🇳🇴 🇬🇧 🇩🇪 🇨🇿 🇫🇮

Meteor Ulefossin yllä 2025-08-02 22:51:37 UTC

KML-tiedosto  |  Interaktiivinen kartta

Kartta näyttää meteorin suuntahavainnot. Vaaleammat viivat näyttävät suunnat havaintoasemilta meteorin ilmestyessä, ja tummemmat viivat näyttävät, missä se viimeksi nähtiin. Sininen nuoli näyttää meteorin näkyvän lennon.

static map
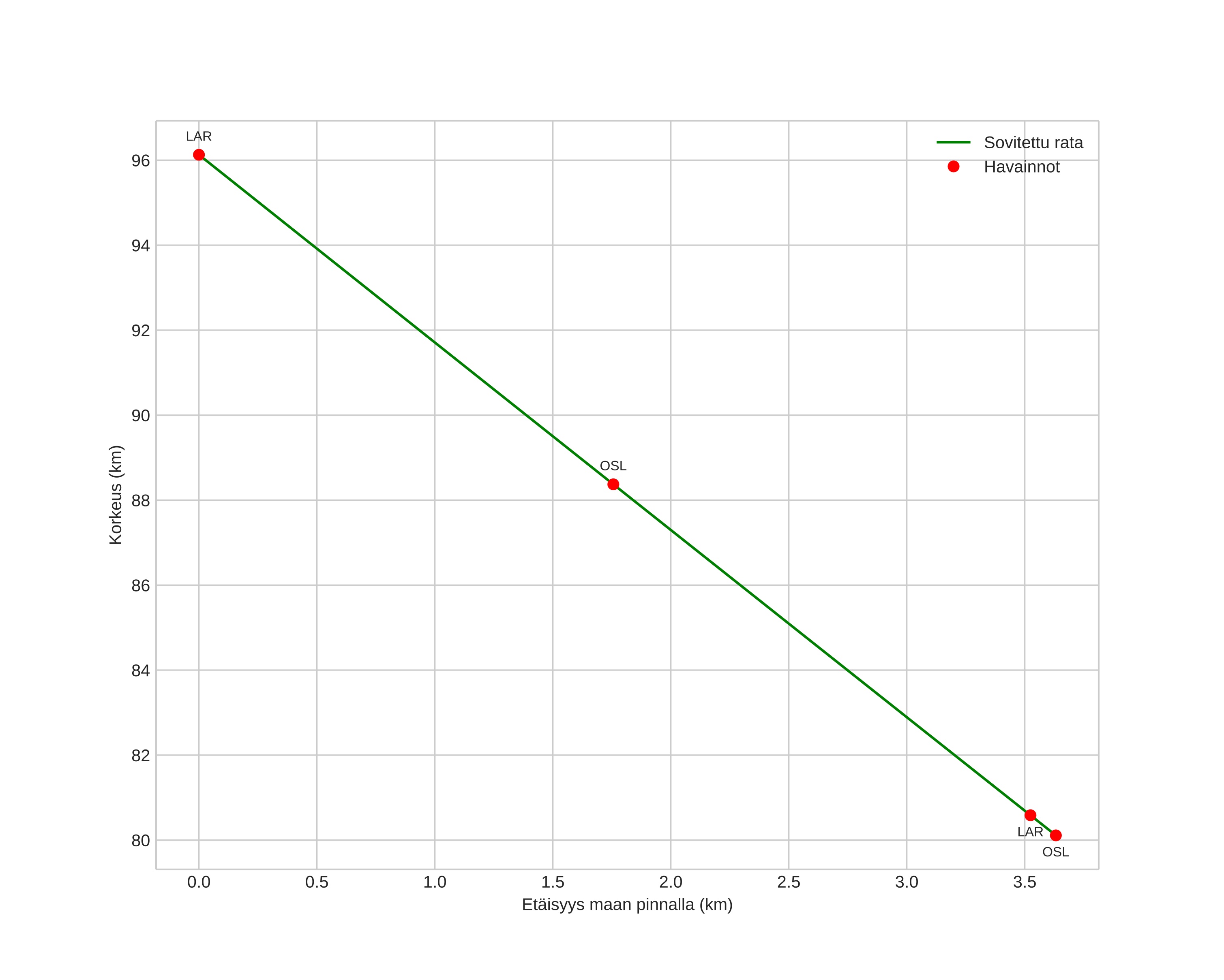
height profile
Meteorin ilmakehärata:
Alkukorkeus: 88,3 km
Loppukorkeus: 80,1 km
Alkupiste: 59,308N 9,213E
Loppupiste: 59,292N 9,229E
Suunta: 151,2°
Kallistuskulma: 76,7°
Tulonopeus: 29,4 km/s
Radiantin R,A,: 18:50 (282,6°)
Radiantin Dekl,: 70,1°
Meteoriparvi: Sporadinen
Meteoroidin rataelementit:
Perihelietäisyys: 1,015 AU
Eksentrisyys: 0,649
Inklinaatio: 45,5°
Nousevan solmun pituus: 130,5°
Perihelin argumentti: 180,5°
Keskianomalia: 359,9°
Epookki: 2025 AUG 02 22:51:37
orbit plot

Ei-interaktiivinen kuvaaja | Interaktiivinen kuvaaja

position vs time
speed and acceleration

Larvik (LAR) cam6


gnomonic
Videot:
• Gnomoninen
• Gnomoninen koordinaateilla
• Alkuperäinen
• Alkuperäinen koordinaateilla
Kuvat:
• Gnomoninen
• Gnomoninen koordinaateilla
• Alkuperäinen
• Alkuperäinen koordinaateilla
Tekstitiedostot:
• Havaintoraportti
• Observaatio
• Koordinaatit
• Loki
Kirkkaus

Voksenlia (OSL) cam7


gnomonic
Videot:
• Gnomoninen
• Gnomoninen koordinaateilla
• Alkuperäinen
• Alkuperäinen koordinaateilla
Kuvat:
• Gnomoninen
• Gnomoninen koordinaateilla
• Alkuperäinen
• Alkuperäinen koordinaateilla
Tekstitiedostot:
• Havaintoraportti
• Observaatio
• Koordinaatit
• Loki
Kirkkaus