🇳🇴 🇬🇧 🇩🇪 🇨🇿 🇫🇮

Meteor Nesoddtangenin yllä 2025-08-02 23:06:47 UTC

KML-tiedosto  |  Interaktiivinen kartta

Kartta näyttää meteorin suuntahavainnot. Vaaleammat viivat näyttävät suunnat havaintoasemilta meteorin ilmestyessä, ja tummemmat viivat näyttävät, missä se viimeksi nähtiin. Sininen nuoli näyttää meteorin näkyvän lennon.

static map
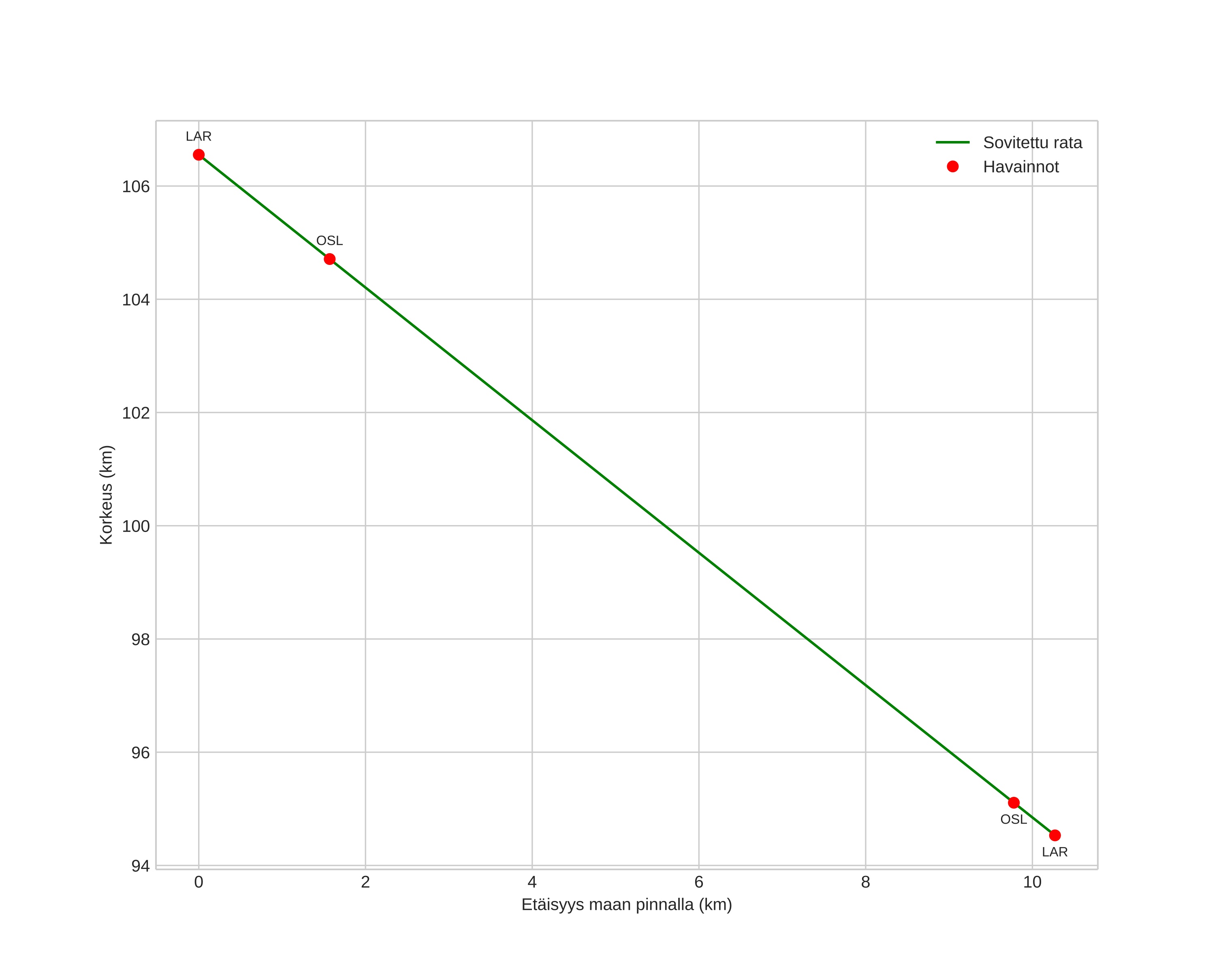
height profile
Meteorin ilmakehärata:
Alkukorkeus: 109,4 km
Loppukorkeus: 93,1 km
Alkupiste: 59,866N 10,899E
Loppupiste: 59,796N 10,692E
Suunta: 236,0°
Kallistuskulma: 49,4°
Tulonopeus: 56,6 km/s
Radiantin R,A,: 02:08 (32,1°)
Radiantin Dekl,: 56,8°
Meteoriparvi: Perseidit
Meteoroidin rataelementit:
Perihelietäisyys: 0,960 AU
Eksentrisyys: 0,746
Inklinaatio: 108,0°
Nousevan solmun pituus: 130,5°
Perihelin argumentti: 151,0°
Keskianomalia: 2,9°
Epookki: 2025 AUG 02 23:06:47
orbit plot

Ei-interaktiivinen kuvaaja | Interaktiivinen kuvaaja

position vs time
speed and acceleration

Larvik (LAR) cam6


gnomonic
Videot:
• Gnomoninen
• Gnomoninen koordinaateilla
• Alkuperäinen
• Alkuperäinen koordinaateilla
Kuvat:
• Gnomoninen
• Gnomoninen koordinaateilla
• Alkuperäinen
• Alkuperäinen koordinaateilla
Tekstitiedostot:
• Havaintoraportti
• Observaatio
• Koordinaatit
• Loki
Kirkkaus

Voksenlia (OSL) cam6


gnomonic
Videot:
• Gnomoninen
• Gnomoninen koordinaateilla
• Alkuperäinen
• Alkuperäinen koordinaateilla
Kuvat:
• Gnomoninen
• Gnomoninen koordinaateilla
• Alkuperäinen
• Alkuperäinen koordinaateilla
Tekstitiedostot:
• Havaintoraportti
• Observaatio
• Koordinaatit
• Loki
Kirkkaus