🇳🇴 🇬🇧 🇩🇪 🇨🇿 🇫🇮

Meteor Hundorpin yllä 2025-08-04 00:02:07 UTC

KML-tiedosto  |  Interaktiivinen kartta

Kartta näyttää meteorin suuntahavainnot. Vaaleammat viivat näyttävät suunnat havaintoasemilta meteorin ilmestyessä, ja tummemmat viivat näyttävät, missä se viimeksi nähtiin. Sininen nuoli näyttää meteorin näkyvän lennon.

static map
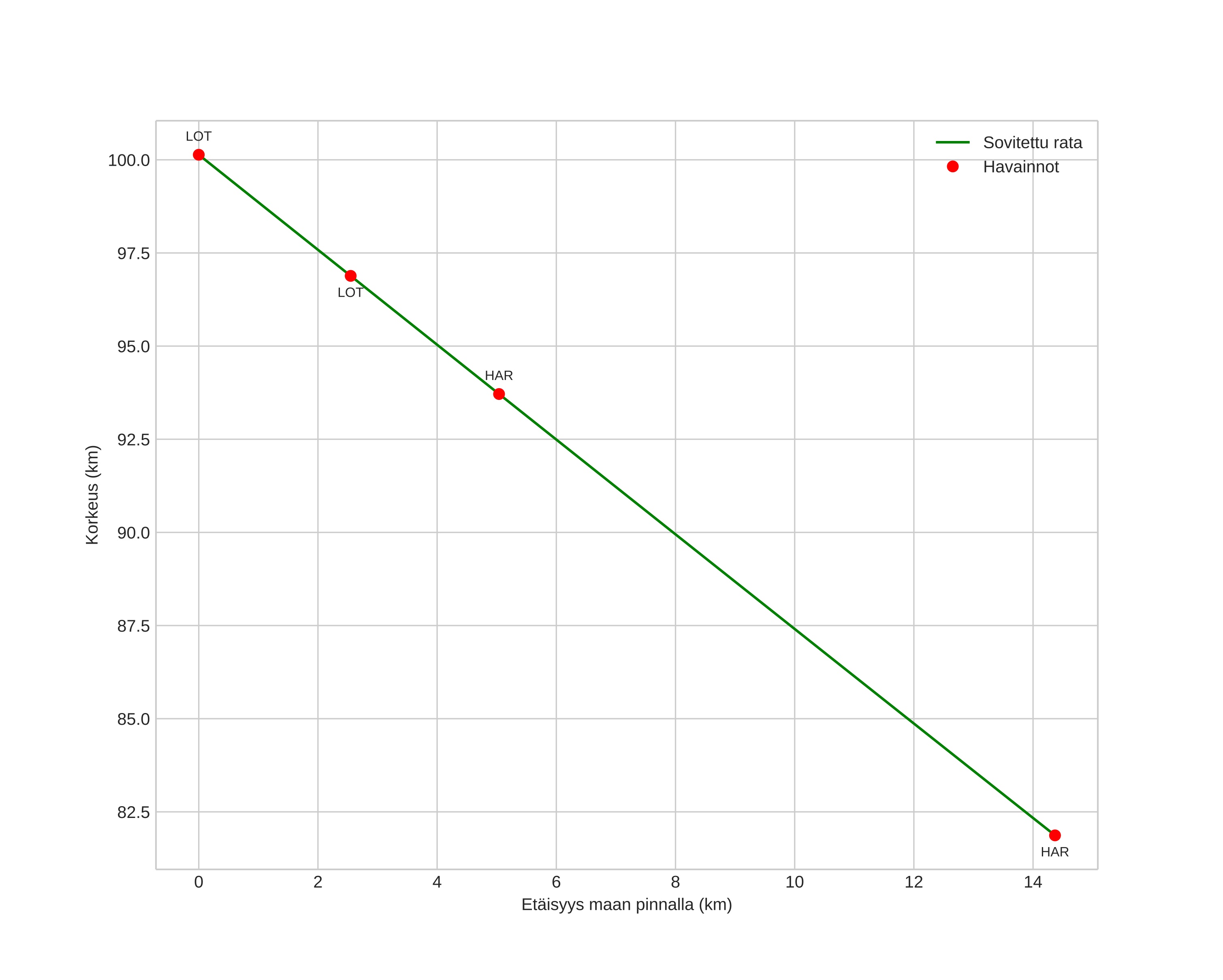
height profile
Meteorin ilmakehärata:
Alkukorkeus: 100,2 km
Loppukorkeus: 81,9 km
Alkupiste: 61,877N 10,054E
Loppupiste: 61,764N 9,919E
Suunta: 209,5°
Kallistuskulma: 51,8°
Tulonopeus: 63,9 km/s
Radiantin R,A,: 04:48 (72,0°)
Radiantin Dekl,: 71,2°
Meteoriparvi: Sporadinen
Meteoroidin rataelementit:
Perihelietäisyys: 0,830 AU
Eksentrisyys: 2,089
Inklinaatio: 93,4°
Nousevan solmun pituus: 131,5°
Perihelin argumentti: 136,9°
Keskianomalia: 32,0°
Epookki: 2025 AUG 04 00:02:07
orbit plot

Ei-interaktiivinen kuvaaja | Interaktiivinen kuvaaja

position vs time
speed and acceleration

Harestua (HAR) cam1


gnomonic
Videot:
• Gnomoninen
• Gnomoninen koordinaateilla
• Alkuperäinen
• Alkuperäinen koordinaateilla
Kuvat:
• Gnomoninen
• Gnomoninen koordinaateilla
• Alkuperäinen
• Alkuperäinen koordinaateilla
Tekstitiedostot:
• Havaintoraportti
• Observaatio
• Koordinaatit
• Loki
Kirkkaus

Loten (LOT) cam5


gnomonic
Videot:
• Gnomoninen
• Gnomoninen koordinaateilla
• Alkuperäinen
• Alkuperäinen koordinaateilla
Kuvat:
• Gnomoninen
• Gnomoninen koordinaateilla
• Alkuperäinen
• Alkuperäinen koordinaateilla
Tekstitiedostot:
• Havaintoraportti
• Observaatio
• Koordinaatit
• Loki
Kirkkaus