🇳🇴 🇬🇧 🇩🇪 🇨🇿 🇫🇮

Meteor Bengtsforsin yllä 2025-08-06 21:50:16 UTC

KML-tiedosto  |  Interaktiivinen kartta

Kartta näyttää meteorin suuntahavainnot. Vaaleammat viivat näyttävät suunnat havaintoasemilta meteorin ilmestyessä, ja tummemmat viivat näyttävät, missä se viimeksi nähtiin. Sininen nuoli näyttää meteorin näkyvän lennon.

static map
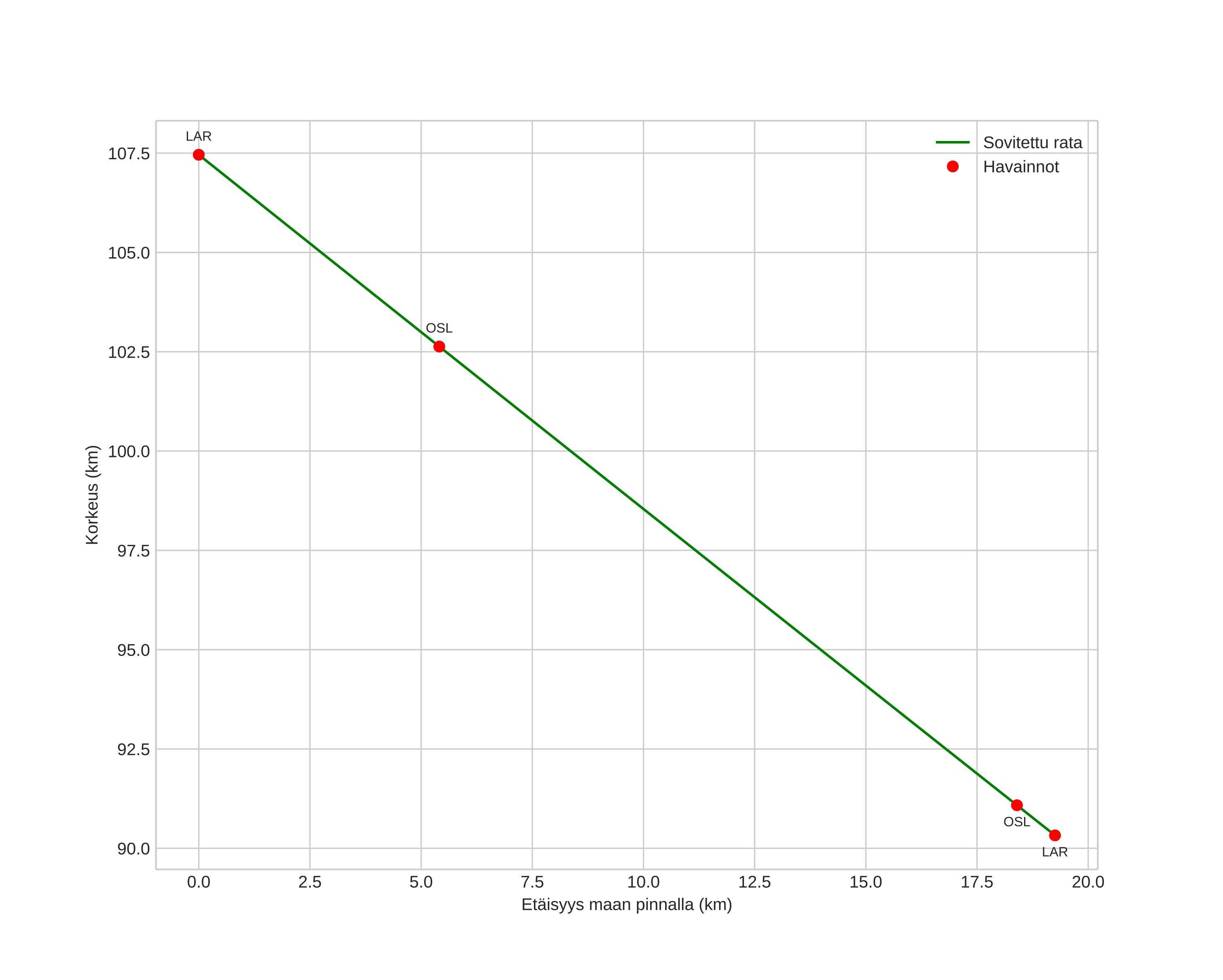
height profile
Meteorin ilmakehärata:
Alkukorkeus: 111,6 km
Loppukorkeus: 89,9 km
Alkupiste: 59,348N 12,711E
Loppupiste: 59,193N 12,410E
Suunta: 224,9°
Kallistuskulma: 41,8°
Tulonopeus: 48,6 km/s
Radiantin R,A,: 02:34 (38,5°)
Radiantin Dekl,: 57,0°
Meteoriparvi: Perseidit
Meteoroidin rataelementit:
Perihelietäisyys: 0,854 AU
Eksentrisyys: 0,270
Inklinaatio: 101,9°
Nousevan solmun pituus: 134,3°
Perihelin argumentti: 105,0°
Keskianomalia: 46,9°
Epookki: 2025 AUG 06 21:50:16
orbit plot

Ei-interaktiivinen kuvaaja | Interaktiivinen kuvaaja

position vs time
speed and acceleration

Larvik (LAR) cam2


gnomonic
Videot:
• Gnomoninen
• Gnomoninen koordinaateilla
• Alkuperäinen
• Alkuperäinen koordinaateilla
Kuvat:
• Gnomoninen
• Gnomoninen koordinaateilla
• Alkuperäinen
• Alkuperäinen koordinaateilla
Tekstitiedostot:
• Havaintoraportti
• Observaatio
• Koordinaatit
• Loki
Kirkkaus

Voksenlia (OSL) cam4


gnomonic
Videot:
• Gnomoninen
• Gnomoninen koordinaateilla
• Alkuperäinen
• Alkuperäinen koordinaateilla
Kuvat:
• Gnomoninen
• Gnomoninen koordinaateilla
• Alkuperäinen
• Alkuperäinen koordinaateilla
Tekstitiedostot:
• Havaintoraportti
• Observaatio
• Koordinaatit
• Loki
Kirkkaus