🇳🇴 🇬🇧 🇩🇪 🇨🇿 🇫🇮

Meteor Balestrandin yllä 2025-08-09 00:30:00 UTC

KML-tiedosto  |  Interaktiivinen kartta

Kartta näyttää meteorin suuntahavainnot. Vaaleammat viivat näyttävät suunnat havaintoasemilta meteorin ilmestyessä, ja tummemmat viivat näyttävät, missä se viimeksi nähtiin. Sininen nuoli näyttää meteorin näkyvän lennon.

static map
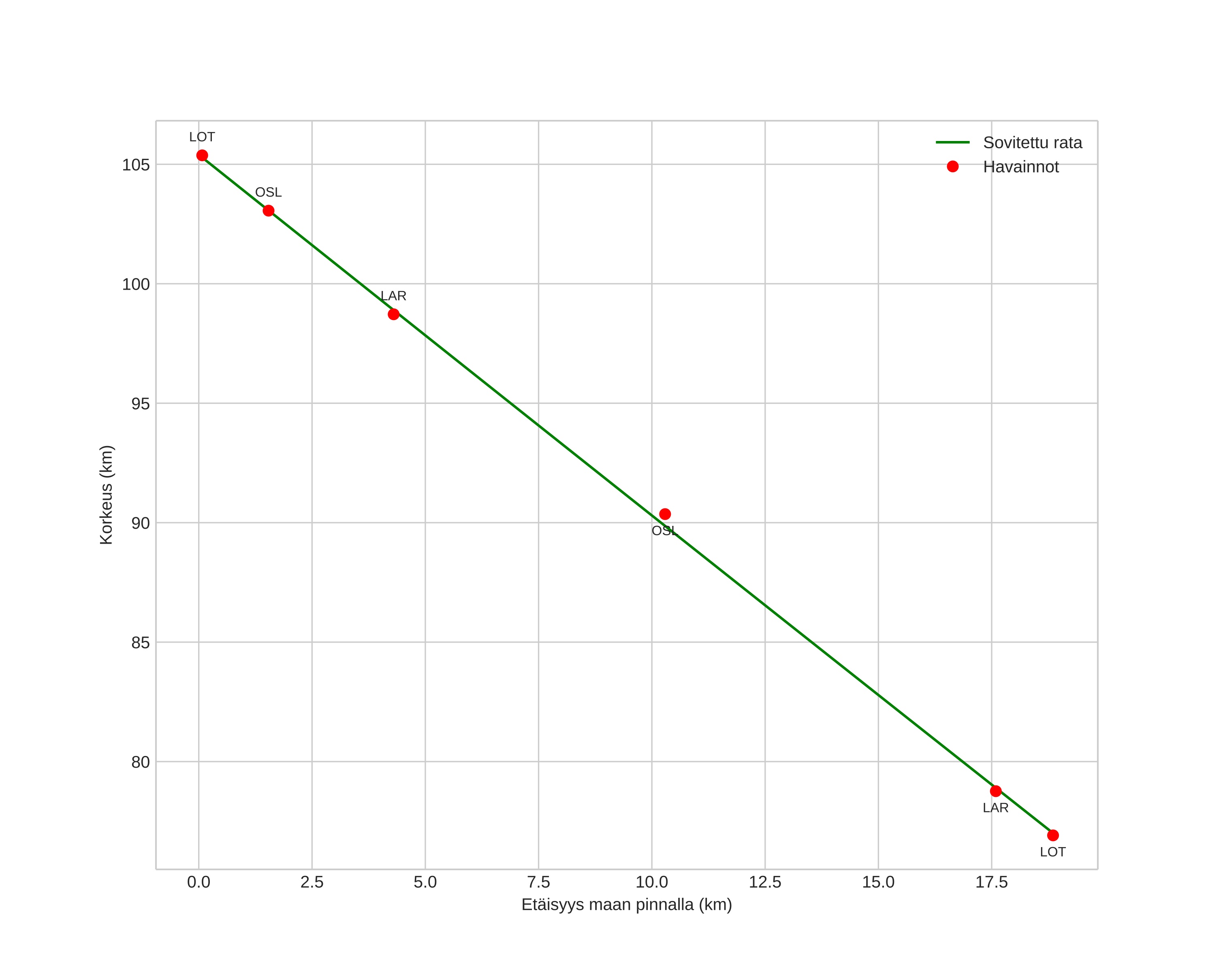
height profile
Meteorin ilmakehärata:
Alkukorkeus: 105,4 km
Loppukorkeus: 76,9 km
Alkupiste: 61,192N 6,770E
Loppupiste: 61,114N 6,457E
Suunta: 242,7°
Kallistuskulma: 56,5°
Tulonopeus: 48,9 km/s
Radiantin R,A,: 02:46 (41,7°)
Radiantin Dekl,: 58,3°
Meteoriparvi: Perseidit
Meteoroidin rataelementit:
Perihelietäisyys: 0,863 AU
Eksentrisyys: 0,300
Inklinaatio: 101,5°
Nousevan solmun pituus: 136,3°
Perihelin argumentti: 110,9°
Keskianomalia: 39,8°
Epookki: 2025 AUG 09 00:30:00
orbit plot

Ei-interaktiivinen kuvaaja | Interaktiivinen kuvaaja

position vs time
speed and acceleration

Larvik (LAR) cam1


gnomonic
Videot:
• Gnomoninen
• Gnomoninen koordinaateilla
• Alkuperäinen
• Alkuperäinen koordinaateilla
Kuvat:
• Gnomoninen
• Gnomoninen koordinaateilla
• Alkuperäinen
• Alkuperäinen koordinaateilla
Tekstitiedostot:
• Havaintoraportti
• Observaatio
• Koordinaatit
• Loki
Kirkkaus

Loten (LOT) cam5


gnomonic
Videot:
• Gnomoninen
• Gnomoninen koordinaateilla
• Alkuperäinen
• Alkuperäinen koordinaateilla
Kuvat:
• Gnomoninen
• Gnomoninen koordinaateilla
• Alkuperäinen
• Alkuperäinen koordinaateilla
Tekstitiedostot:
• Havaintoraportti
• Observaatio
• Koordinaatit
• Loki
Kirkkaus

Voksenlia (OSL) cam1


gnomonic
Videot:
• Gnomoninen
• Gnomoninen koordinaateilla
• Alkuperäinen
• Alkuperäinen koordinaateilla
Kuvat:
• Gnomoninen
• Gnomoninen koordinaateilla
• Alkuperäinen
• Alkuperäinen koordinaateilla
Tekstitiedostot:
• Havaintoraportti
• Observaatio
• Koordinaatit
• Loki
Kirkkaus