🇳🇴 🇬🇧 🇩🇪 🇨🇿 🇫🇮

Meteor Hvittingfossin yllä 2025-08-09 22:49:11 UTC

KML-tiedosto  |  Interaktiivinen kartta

Kartta näyttää meteorin suuntahavainnot. Vaaleammat viivat näyttävät suunnat havaintoasemilta meteorin ilmestyessä, ja tummemmat viivat näyttävät, missä se viimeksi nähtiin. Sininen nuoli näyttää meteorin näkyvän lennon.

static map
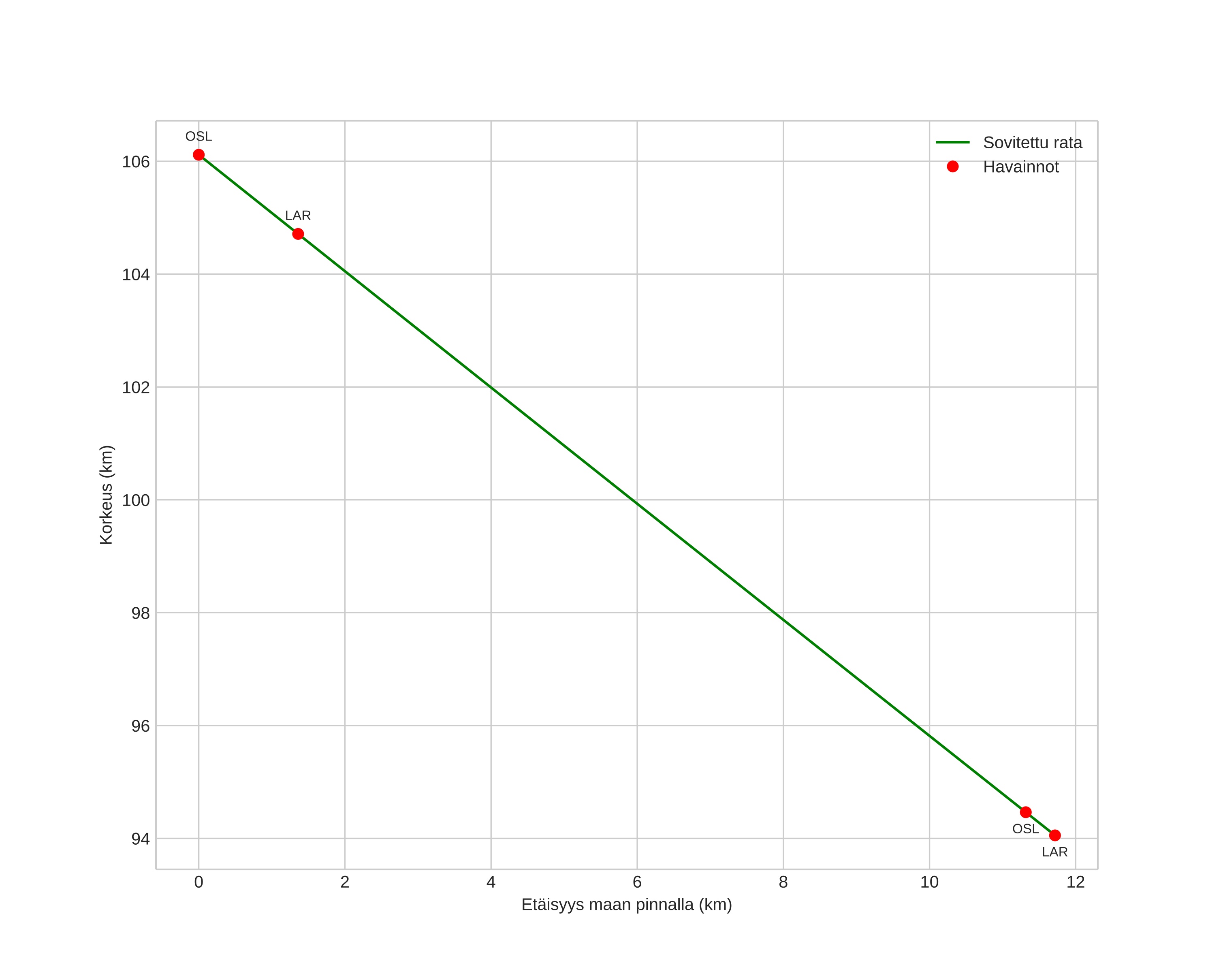
height profile
Meteorin ilmakehärata:
Alkukorkeus: 105,7 km
Loppukorkeus: 94,6 km
Alkupiste: 59,560N 10,063E
Loppupiste: 59,496N 9,914E
Suunta: 229,8°
Kallistuskulma: 45,2°
Tulonopeus: 57,4 km/s
Radiantin R,A,: 02:57 (44,4°)
Radiantin Dekl,: 57,1°
Meteoriparvi: Perseidit
Meteoroidin rataelementit:
Perihelietäisyys: 0,936 AU
Eksentrisyys: 0,725
Inklinaatio: 111,3°
Nousevan solmun pituus: 137,2°
Perihelin argumentti: 144,9°
Keskianomalia: 4,1°
Epookki: 2025 AUG 09 22:49:11
orbit plot

Ei-interaktiivinen kuvaaja | Interaktiivinen kuvaaja

position vs time
speed and acceleration

Larvik (LAR) cam6


gnomonic
Videot:
• Gnomoninen
• Gnomoninen koordinaateilla
• Alkuperäinen
• Alkuperäinen koordinaateilla
Kuvat:
• Gnomoninen
• Gnomoninen koordinaateilla
• Alkuperäinen
• Alkuperäinen koordinaateilla
Tekstitiedostot:
• Havaintoraportti
• Observaatio
• Koordinaatit
• Loki
Kirkkaus

Voksenlia (OSL) cam7


gnomonic
Videot:
• Gnomoninen
• Gnomoninen koordinaateilla
• Alkuperäinen
• Alkuperäinen koordinaateilla
Kuvat:
• Gnomoninen
• Gnomoninen koordinaateilla
• Alkuperäinen
• Alkuperäinen koordinaateilla
Tekstitiedostot:
• Havaintoraportti
• Observaatio
• Koordinaatit
• Loki
Kirkkaus