🇳🇴 🇬🇧 🇩🇪 🇨🇿 🇫🇮

Meteor, poloha: Seljord 2025-08-10 00:30:49 UTC

Soubor KML

Mapa zobrazuje dráhy meteoru. Světlejší čáry ukazují směry od pozorovacích stanic při objevení se meteoru a tmavší čáry, kde byl naposledy viděn. Modrá šipka značí viditelnou dráhu meteoru.

static map
height profile
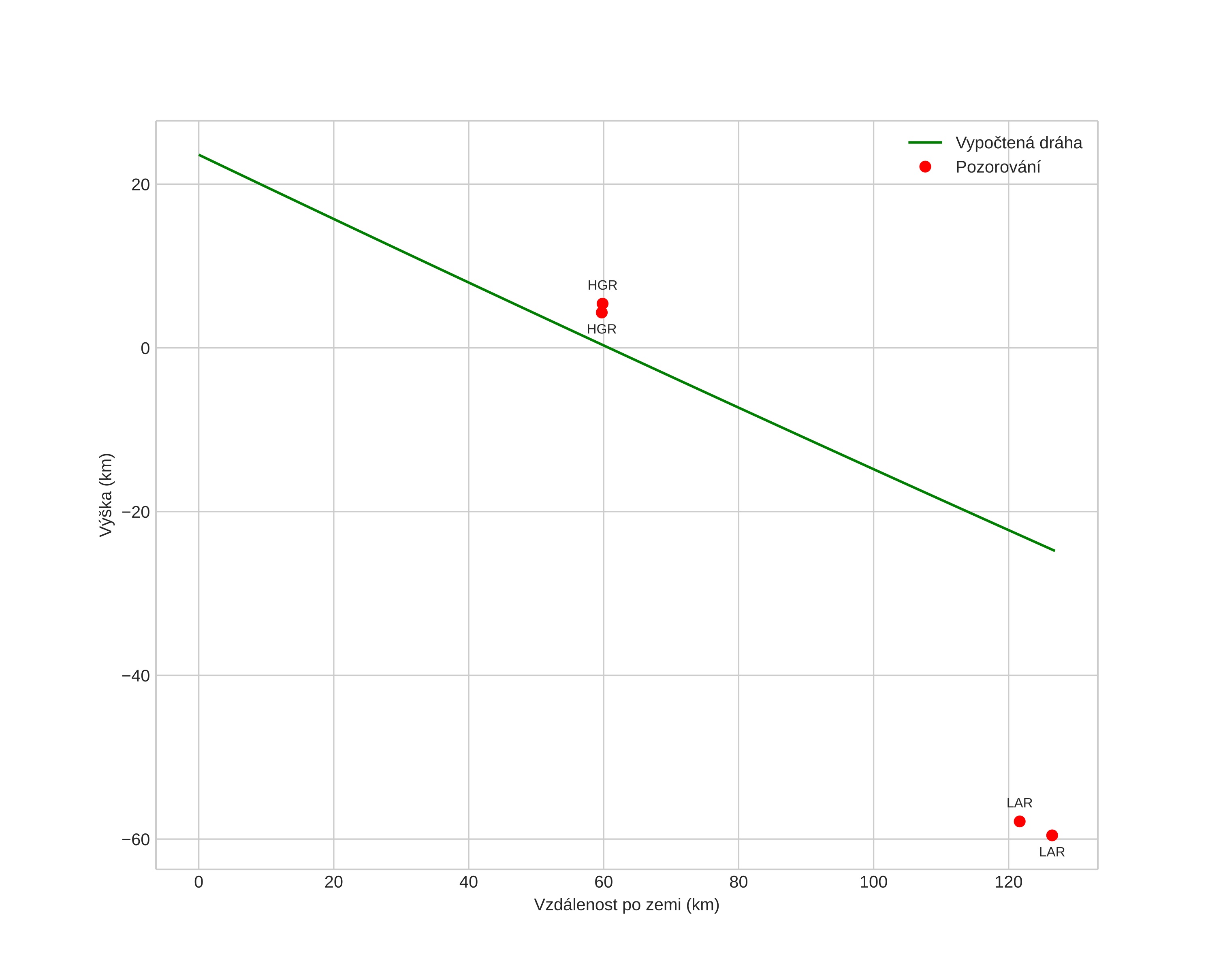
Atmosférická dráha meteoru:
Počáteční výška: 23,6 km
Konečná výška: -24,8 km
Počáteční poloha: 60,051N 10,612E
Konečná poloha: 59,530N 8,594E
Směr: 243,7°
Sklon: 20,9°
Vstupní rychlost: 0,1 km/s
position vs time
speed and acceleration