🇳🇴 🇬🇧 🇩🇪 🇨🇿 🇫🇮

Meteor Tanumsheden yllä 2025-08-10 00:47:52 UTC

KML-tiedosto  |  Interaktiivinen kartta

Kartta näyttää meteorin suuntahavainnot. Vaaleammat viivat näyttävät suunnat havaintoasemilta meteorin ilmestyessä, ja tummemmat viivat näyttävät, missä se viimeksi nähtiin. Sininen nuoli näyttää meteorin näkyvän lennon.

static map
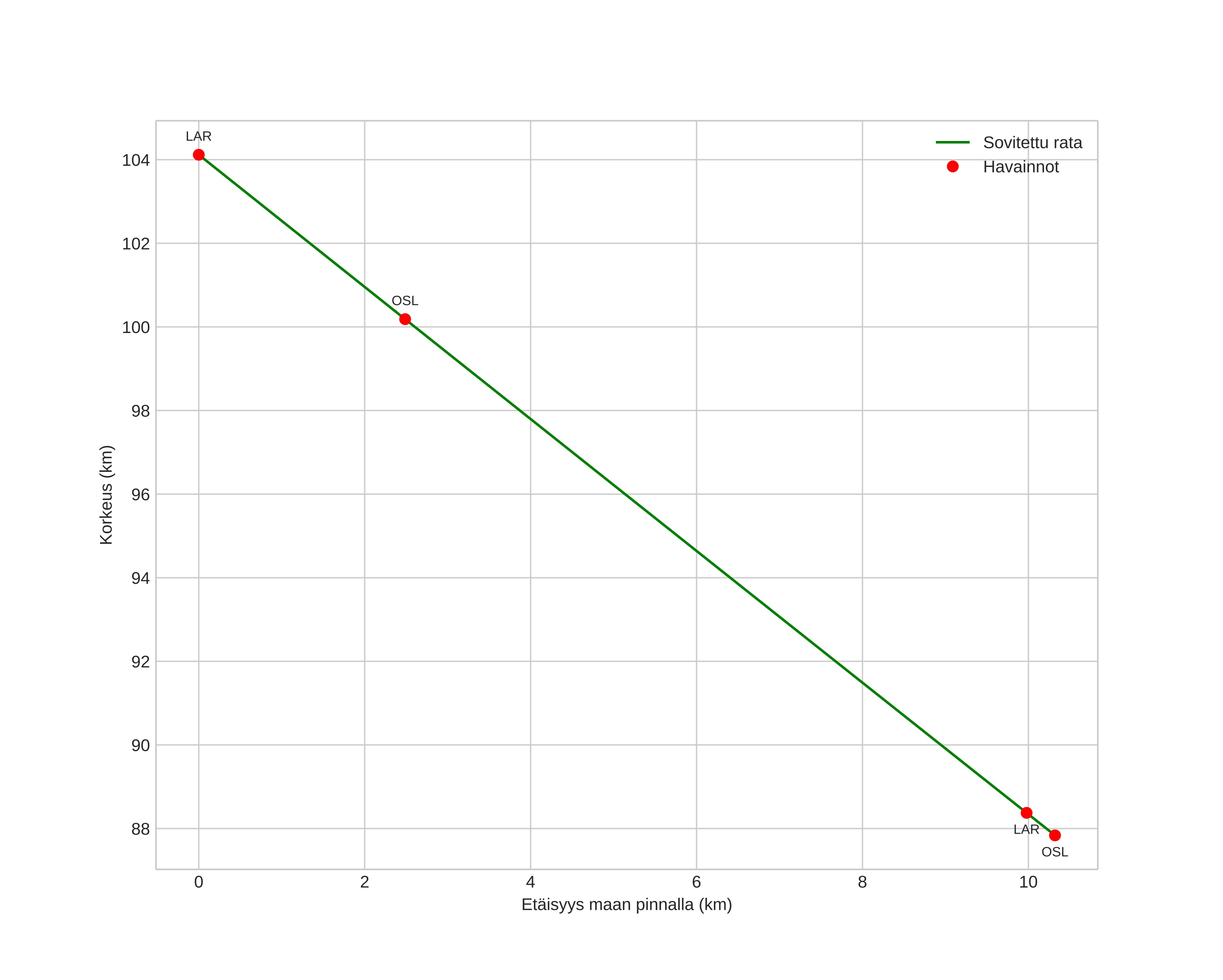
height profile
Meteorin ilmakehärata:
Alkukorkeus: 102,2 km
Loppukorkeus: 82,8 km
Alkupiste: 58,884N 11,547E
Loppupiste: 58,848N 11,353E
Suunta: 250,2°
Kallistuskulma: 58,6°
Tulonopeus: 55,8 km/s
Radiantin R,A,: 02:44 (41,2°)
Radiantin Dekl,: 55,1°
Meteoriparvi: Perseidit
Meteoroidin rataelementit:
Perihelietäisyys: 0,954 AU
Eksentrisyys: 0,534
Inklinaatio: 112,3°
Nousevan solmun pituus: 137,3°
Perihelin argumentti: 146,2°
Keskianomalia: 9,1°
Epookki: 2025 AUG 10 00:47:52
orbit plot

Ei-interaktiivinen kuvaaja | Interaktiivinen kuvaaja

position vs time
speed and acceleration

Larvik (LAR) cam7


gnomonic
Videot:
• Gnomoninen
• Gnomoninen koordinaateilla
• Alkuperäinen
• Alkuperäinen koordinaateilla
Kuvat:
• Gnomoninen
• Gnomoninen koordinaateilla
• Alkuperäinen
• Alkuperäinen koordinaateilla
Tekstitiedostot:
• Havaintoraportti
• Observaatio
• Koordinaatit
• Loki
Kirkkaus

Voksenlia (OSL) cam3


gnomonic
Videot:
• Gnomoninen
• Gnomoninen koordinaateilla
• Alkuperäinen
• Alkuperäinen koordinaateilla
Kuvat:
• Gnomoninen
• Gnomoninen koordinaateilla
• Alkuperäinen
• Alkuperäinen koordinaateilla
Tekstitiedostot:
• Havaintoraportti
• Observaatio
• Koordinaatit
• Loki
Kirkkaus