🇳🇴 🇬🇧 🇩🇪 🇨🇿 🇫🇮

Meteor, poloha: Arvika 2025-08-10 21:51:40 UTC

Soubor KML  |  Interaktivní mapa

Mapa zobrazuje dráhy meteoru. Světlejší čáry ukazují směry od pozorovacích stanic při objevení se meteoru a tmavší čáry, kde byl naposledy viděn. Modrá šipka značí viditelnou dráhu meteoru.

static map
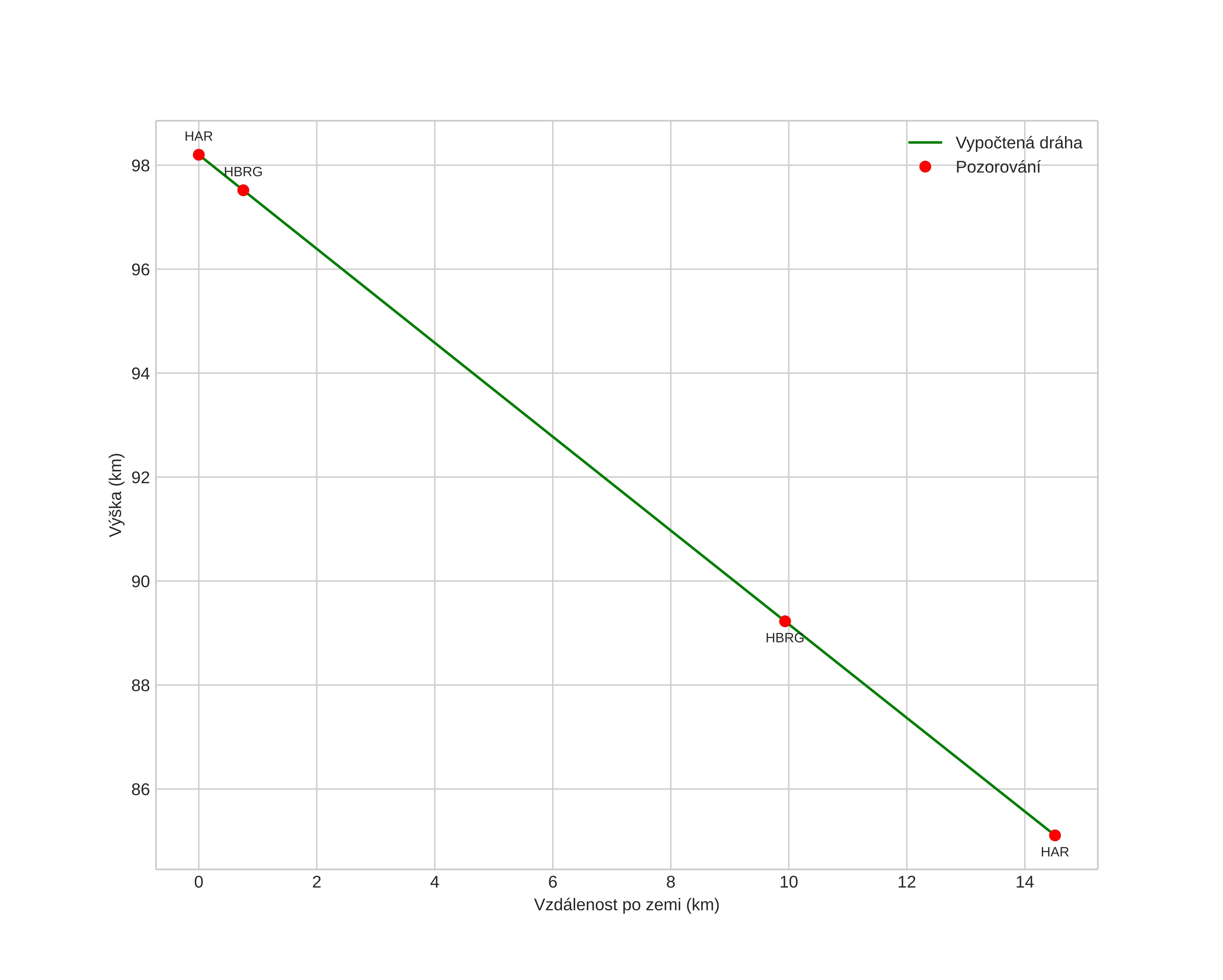
height profile
Atmosférická dráha meteoru:
Počáteční výška: 102,9 km
Konečná výška: 84,9 km
Počáteční poloha: 59,946N 12,799E
Konečná poloha: 59,820N 12,546E
Směr: 225,4°
Sklon: 42,2°
Vstupní rychlost: 65,7 km/s
Rektascenze radiantu: 02:49 (42,3°)
Deklinace radiantu: 57,1°
Meteorický roj: Perseidy
Elementy dráhy meteoroidu:
Vzdálenost v periheliu: 0,979 AU
Excentricita: 1,415
Sklon dráhy: 116,5°
Délka vzestupného uzlu: 138,2°
Argument perihelia: 160,3°
Střední anomálie: 3,5°
Epocha: 2025 AUG 10 21:51:40
orbit plot

Neinteraktivní graf | Interaktivní graf

position vs time
speed and acceleration