🇳🇴 🇬🇧 🇩🇪 🇨🇿 🇫🇮

Meteor Falunin yllä 2025-08-10 22:04:41 UTC

KML-tiedosto  |  Interaktiivinen kartta

Kartta näyttää meteorin suuntahavainnot. Vaaleammat viivat näyttävät suunnat havaintoasemilta meteorin ilmestyessä, ja tummemmat viivat näyttävät, missä se viimeksi nähtiin. Sininen nuoli näyttää meteorin näkyvän lennon.

static map
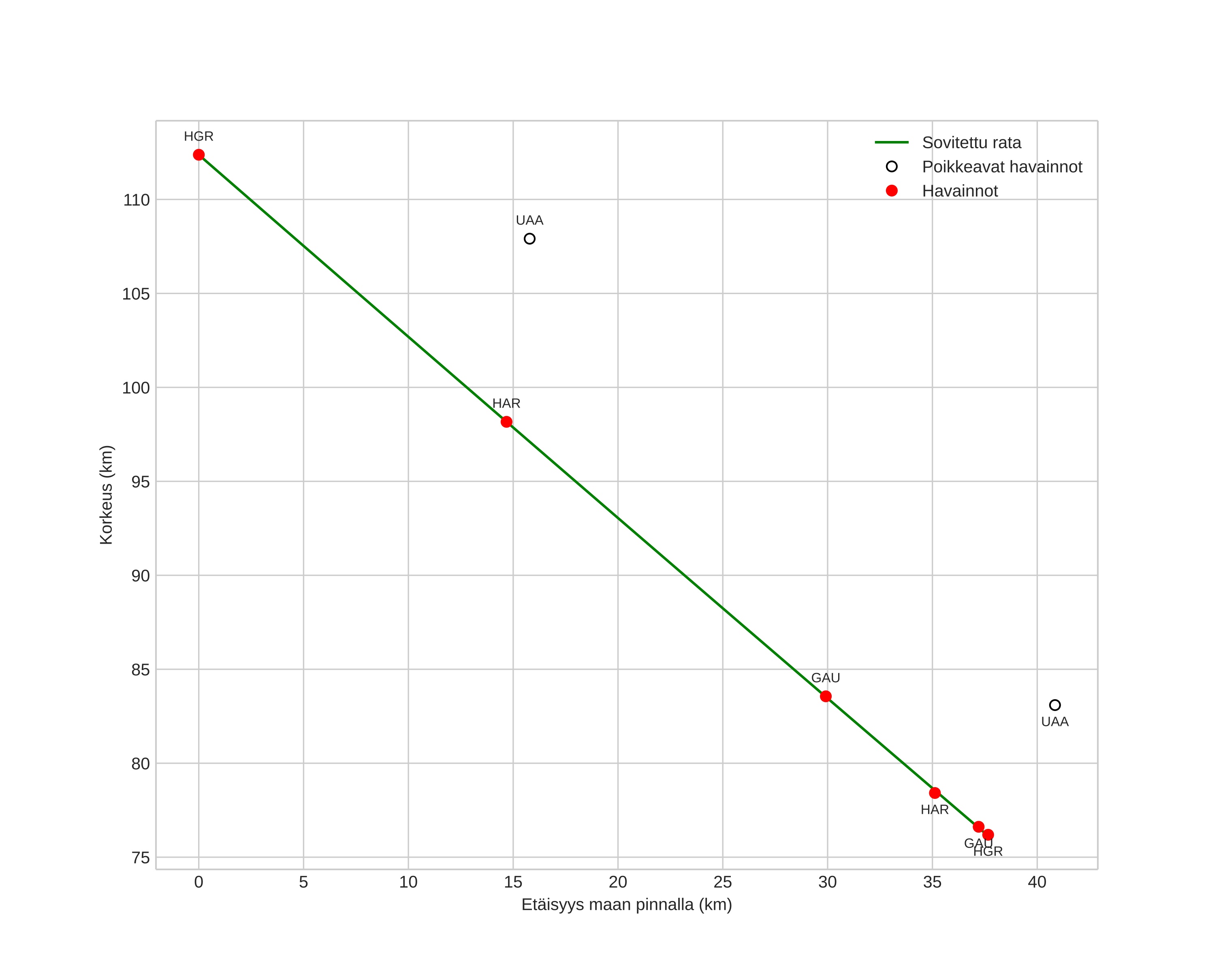
height profile
Meteorin ilmakehärata:
Alkukorkeus: 114,0 km
Loppukorkeus: 76,5 km
Alkupiste: 60,823N 16,083E
Loppupiste: 60,596N 15,551E
Suunta: 229,2°
Kallistuskulma: 44,3°
Tulonopeus: 58,9 km/s
Radiantin R,A,: 02:55 (43,9°)
Radiantin Dekl,: 56,7°
Meteoriparvi: Perseidit
Meteoroidin rataelementit:
Perihelietäisyys: 0,956 AU
Eksentrisyys: 0,808
Inklinaatio: 113,1°
Nousevan solmun pituus: 138,2°
Perihelin argumentti: 150,8°
Keskianomalia: 1,9°
Epookki: 2025 AUG 10 22:04:41
orbit plot

Ei-interaktiivinen kuvaaja | Interaktiivinen kuvaaja

position vs time
speed and acceleration

Gaustatoppen (GAU) cam2


gnomonic
Videot:
• Gnomoninen
• Gnomoninen koordinaateilla
• Alkuperäinen
• Alkuperäinen koordinaateilla
Kuvat:
• Gnomoninen
• Gnomoninen koordinaateilla
• Alkuperäinen
• Alkuperäinen koordinaateilla
Tekstitiedostot:
• Havaintoraportti
• Observaatio
• Koordinaatit
• Loki
Kirkkaus

Hagar (HGR) cam3


gnomonic
Videot:
• Gnomoninen
• Gnomoninen koordinaateilla
• Alkuperäinen
• Alkuperäinen koordinaateilla
Kuvat:
• Gnomoninen
• Gnomoninen koordinaateilla
• Alkuperäinen
• Alkuperäinen koordinaateilla
Tekstitiedostot:
• Havaintoraportti
• Observaatio
• Koordinaatit
• Loki
Kirkkaus

Harestua (HAR) cam2


gnomonic
Videot:
• Gnomoninen
• Gnomoninen koordinaateilla
• Alkuperäinen
• Alkuperäinen koordinaateilla
Kuvat:
• Gnomoninen
• Gnomoninen koordinaateilla
• Alkuperäinen
• Alkuperäinen koordinaateilla
Tekstitiedostot:
• Havaintoraportti
• Observaatio
• Koordinaatit
• Loki
Kirkkaus