🇳🇴 🇬🇧 🇩🇪 🇨🇿 🇫🇮

Meteor Åren yllä 2025-08-11 00:09:32 UTC

KML-tiedosto  |  Interaktiivinen kartta

Kartta näyttää meteorin suuntahavainnot. Vaaleammat viivat näyttävät suunnat havaintoasemilta meteorin ilmestyessä, ja tummemmat viivat näyttävät, missä se viimeksi nähtiin. Sininen nuoli näyttää meteorin näkyvän lennon.

static map
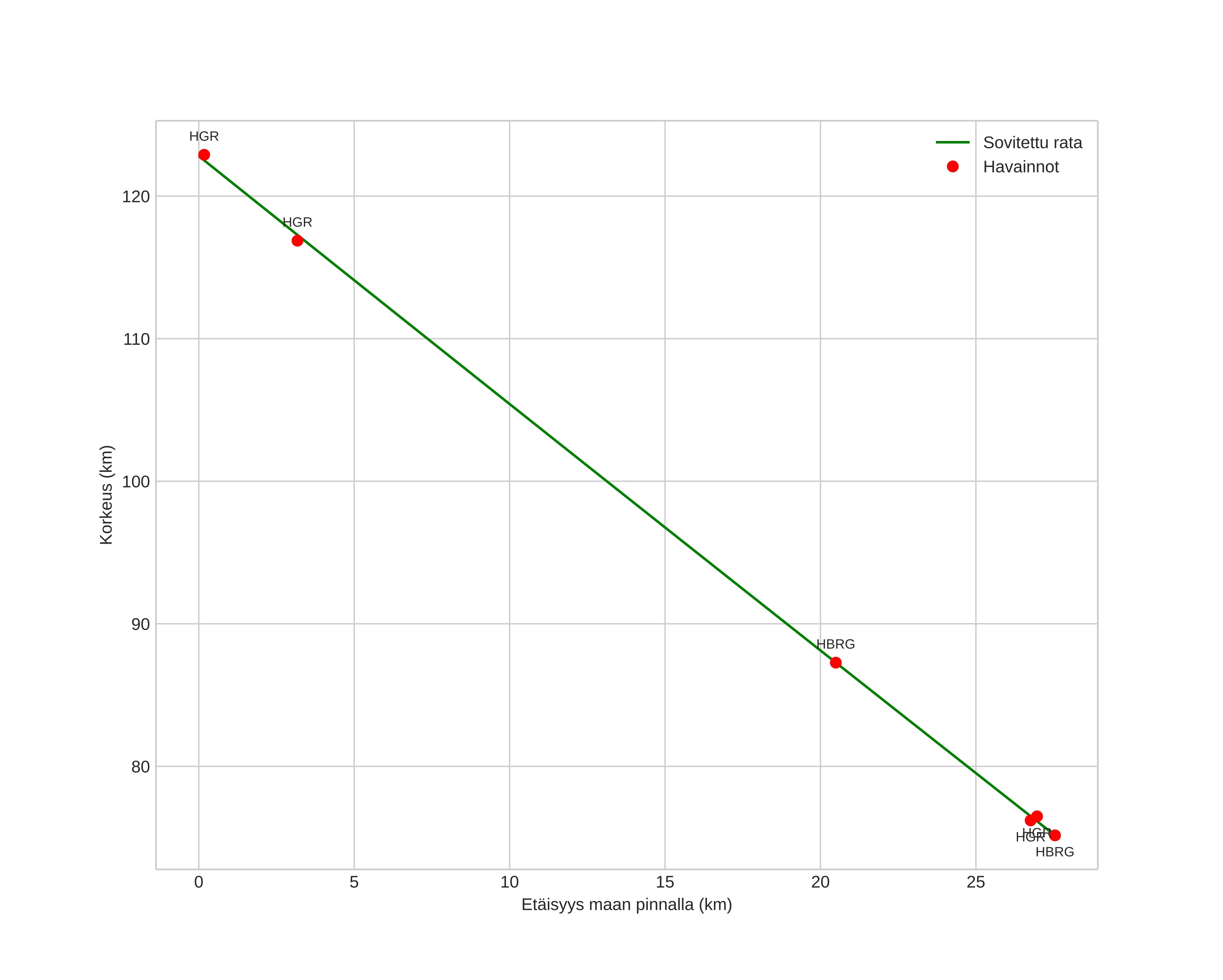
height profile
Meteorin ilmakehärata:
Alkukorkeus: 124,1 km
Loppukorkeus: 75,2 km
Alkupiste: 62,664N 13,094E
Loppupiste: 62,605N 12,559E
Suunta: 256,6°
Kallistuskulma: 60,1°
Tulonopeus: 62,8 km/s
Radiantin R,A,: 02:13 (33,3°)
Radiantin Dekl,: 55,2°
Meteoriparvi: Perseidit
Meteoroidin rataelementit:
Perihelietäisyys: 1,009 AU
Eksentrisyys: 1,119
Inklinaatio: 115,5°
Nousevan solmun pituus: 138,3°
Perihelin argumentti: 172,5°
Keskianomalia: 0,2°
Epookki: 2025 AUG 11 00:09:32
orbit plot

Ei-interaktiivinen kuvaaja | Interaktiivinen kuvaaja

position vs time
speed and acceleration

Hagar (HGR) cam2


gnomonic
Videot:
• Gnomoninen
• Gnomoninen koordinaateilla
• Alkuperäinen
• Alkuperäinen koordinaateilla
Kuvat:
• Gnomoninen
• Gnomoninen koordinaateilla
• Alkuperäinen
• Alkuperäinen koordinaateilla
Tekstitiedostot:
• Havaintoraportti
• Observaatio
• Koordinaatit
• Loki
Kirkkaus

Hagar (HGR) cam3


gnomonic
Videot:
• Gnomoninen
• Gnomoninen koordinaateilla
• Alkuperäinen
• Alkuperäinen koordinaateilla
Kuvat:
• Gnomoninen
• Gnomoninen koordinaateilla
• Alkuperäinen
• Alkuperäinen koordinaateilla
Tekstitiedostot:
• Havaintoraportti
• Observaatio
• Koordinaatit
• Loki
Kirkkaus