🇳🇴 🇬🇧 🇩🇪 🇨🇿 🇫🇮

Meteor, poloha: Abborrberget 2025-08-11 00:16:48 UTC

Soubor KML  |  Interaktivní mapa

Mapa zobrazuje dráhy meteoru. Světlejší čáry ukazují směry od pozorovacích stanic při objevení se meteoru a tmavší čáry, kde byl naposledy viděn. Modrá šipka značí viditelnou dráhu meteoru.

static map
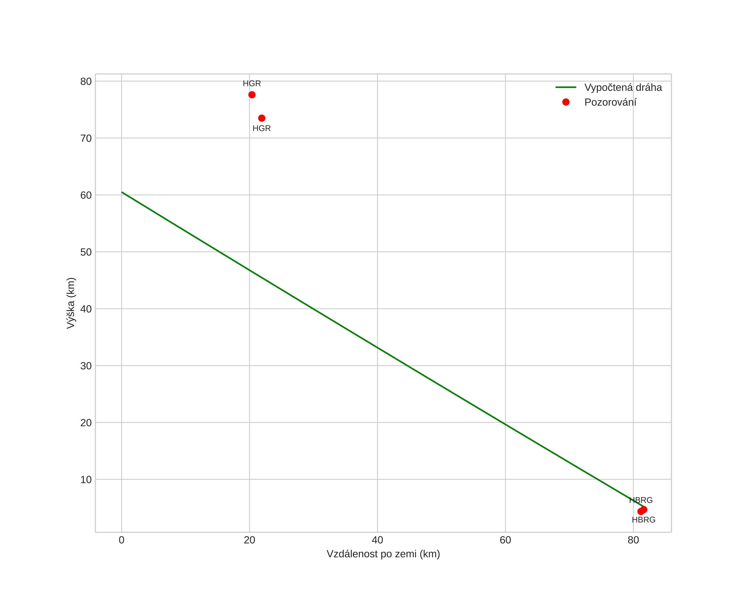
height profile
Atmosférická dráha meteoru:
Počáteční výška: 58,5 km
Konečná výška: 10,8 km
Počáteční poloha: 60,784N 13,767E
Konečná poloha: 60,126N 14,848E
Směr: 140,6°
Sklon: 26,9°
Vstupní rychlost: 30,7 km/s
Rektascenze radiantu: 14:09 (212,3°)
Deklinace radiantu: 44,6°
Meteorický roj: sporadický
Elementy dráhy meteoroidu:
Vzdálenost v periheliu: 0,972 AU
Excentricita: 1,767
Sklon dráhy: 28,4°
Délka vzestupného uzlu: 138,3°
Argument perihelia: 159,4°
Střední anomálie: 8,6°
Epocha: 2025 AUG 11 00:16:48
orbit plot

Neinteraktivní graf | Interaktivní graf

position vs time
speed and acceleration