🇳🇴 🇬🇧 🇩🇪 🇨🇿 🇫🇮

Meteor, poloha: Nesbyen 2025-08-11 21:48:55 UTC

Soubor KML  |  InteraktivnĂ­ mapa

Mapa zobrazuje dráhy meteoru. Světlejší čáry ukazují směry od pozorovacích stanic při objevení se meteoru a tmavší čáry, kde byl naposledy viděn. Modrá šipka značí viditelnou dráhu meteoru.

static map
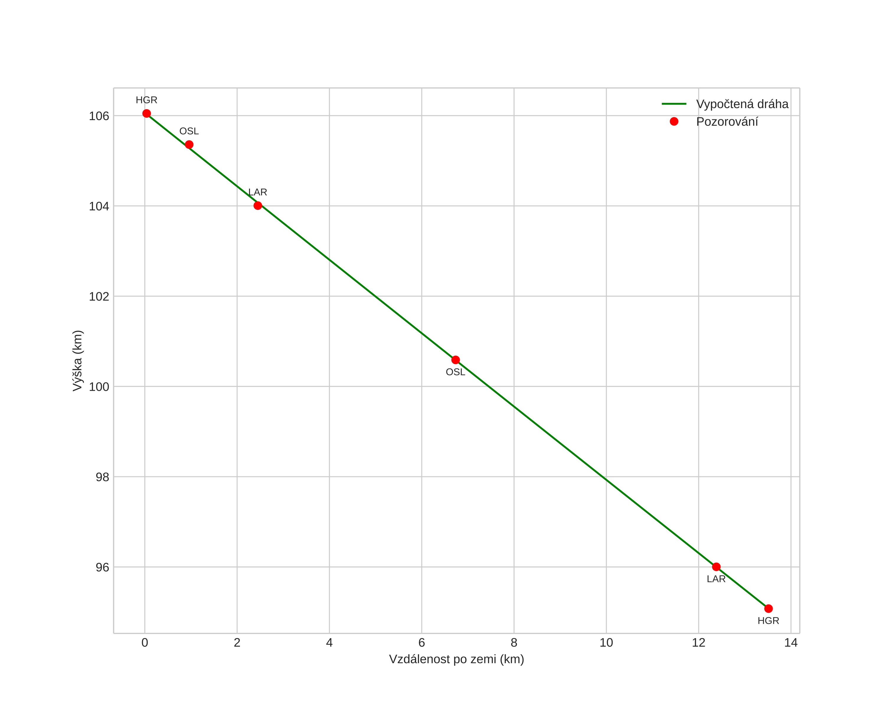
height profile
Atmosférická dráha meteoru:
Počáteční výška: 106,3 km
Konečná výška: 95,3 km
Počáteční poloha: 60,631N 9,241E
Konečná poloha: 60,541N 9,082E
Směr: 221,0°
Sklon: 39,7°
VstupnĂ­ rychlost: 60,2 km/s
Rektascenze radiantu: 03:11 (47,9°)
Deklinace radiantu: 57,0°
MeteorickĂ˝ roj: Perseidy
Elementy dráhy meteoroidu:
Vzdálenost v periheliu: 0,942 AU
Excentricita: 0,914
Sklon dráhy: 114,3°
Délka vzestupného uzlu: 139,1°
Argument perihelia: 148,4°
Střední anomálie: 0,6°
Epocha: 2025 AUG 11 21:48:55
orbit plot

NeinteraktivnĂ­ graf | InteraktivnĂ­ graf

position vs time
speed and acceleration

Hagar (HGR) cam7


gnomonic
Videa
• Gnomonická
• Gnomonická se souřadnicemi
• Původní
• Původní se souřadnicemi
Obrázky
• Gnomonická
• Gnomonická se souřadnicemi
• Původní
• Původní se souřadnicemi
Textové soubory
• Detekce
• Pozorování
• Souřadnice
• Protokol
Jasnost

Larvik (LAR) cam1


gnomonic
Videa
• Gnomonická
• Gnomonická se souřadnicemi
• Původní
• Původní se souřadnicemi
Obrázky
• Gnomonická
• Gnomonická se souřadnicemi
• Původní
• Původní se souřadnicemi
Textové soubory
• Detekce
• Pozorování
• Souřadnice
• Protokol
Jasnost

Voksenlia (OSL) cam7


gnomonic
Videa
• Gnomonická
• Gnomonická se souřadnicemi
• Původní
• Původní se souřadnicemi
Obrázky
• Gnomonická
• Gnomonická se souřadnicemi
• Původní
• Původní se souřadnicemi
Textové soubory
• Detekce
• Pozorování
• Souřadnice
• Protokol
Jasnost