🇳🇴 🇬🇧 🇩🇪 🇨🇿 🇫🇮

Meteor Lillehammerin yllä 2025-08-11 22:55:19 UTC

KML-tiedosto  |  Interaktiivinen kartta

Kartta näyttää meteorin suuntahavainnot. Vaaleammat viivat näyttävät suunnat havaintoasemilta meteorin ilmestyessä, ja tummemmat viivat näyttävät, missä se viimeksi nähtiin. Sininen nuoli näyttää meteorin näkyvän lennon.

static map
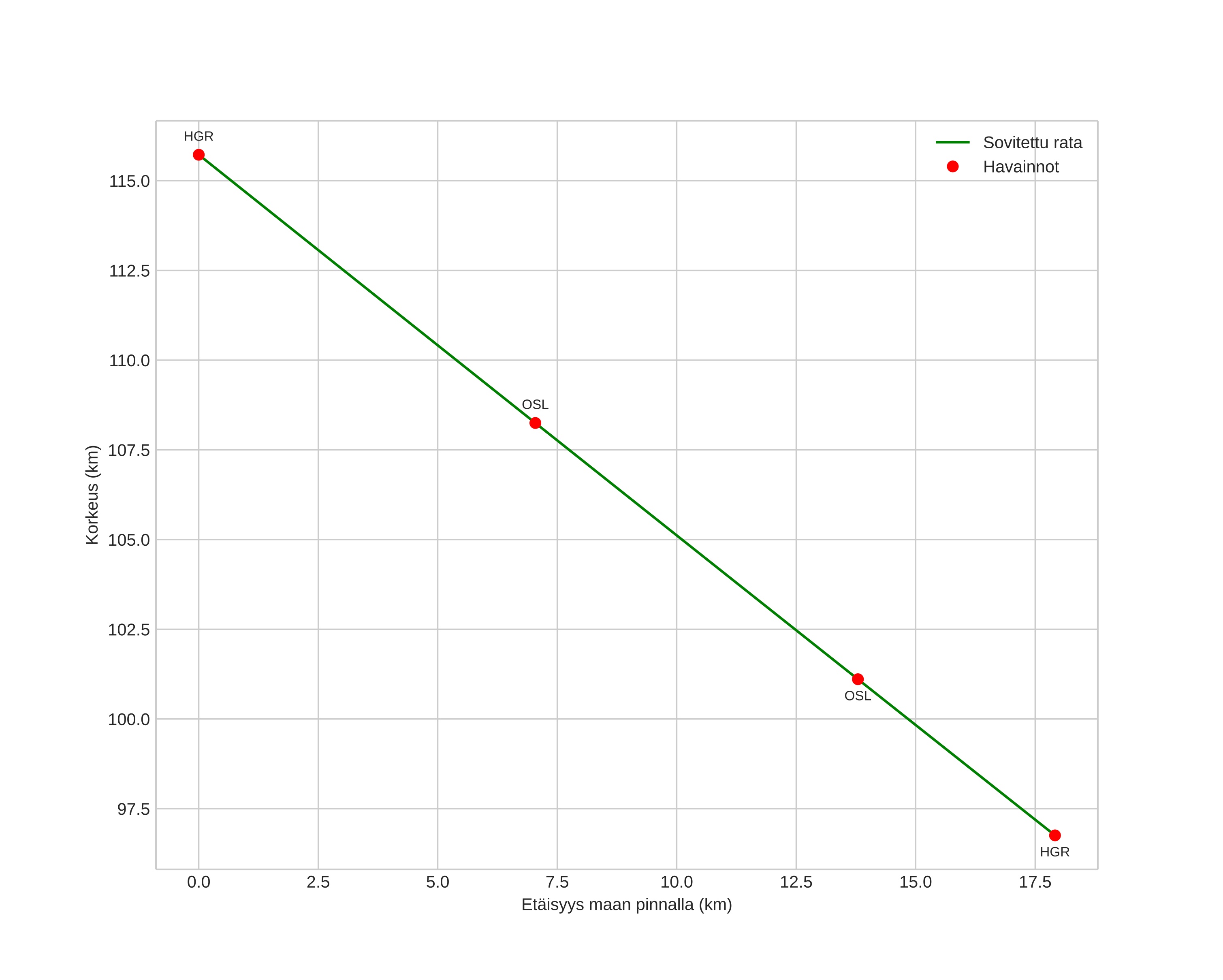
height profile
Meteorin ilmakehärata:
Alkukorkeus: 110,0 km
Loppukorkeus: 100,2 km
Alkupiste: 61,021N 10,474E
Loppupiste: 60,970N 10,340E
Suunta: 231,5°
Kallistuskulma: 46,8°
Tulonopeus: 56,4 km/s
Radiantin R,A,: 03:07 (46,9°)
Radiantin Dekl,: 57,3°
Meteoriparvi: Perseidit
Meteoroidin rataelementit:
Perihelietäisyys: 0,931 AU
Eksentrisyys: 0,645
Inklinaatio: 111,0°
Nousevan solmun pituus: 139,2°
Perihelin argumentti: 142,5°
Keskianomalia: 6,6°
Epookki: 2025 AUG 11 22:55:19
orbit plot

Ei-interaktiivinen kuvaaja | Interaktiivinen kuvaaja

position vs time
speed and acceleration

Hagar (HGR) cam7


gnomonic
Videot:
• Gnomoninen
• Gnomoninen koordinaateilla
• Alkuperäinen
• Alkuperäinen koordinaateilla
Kuvat:
• Gnomoninen
• Gnomoninen koordinaateilla
• Alkuperäinen
• Alkuperäinen koordinaateilla
Tekstitiedostot:
• Havaintoraportti
• Observaatio
• Koordinaatit
• Loki
Kirkkaus

Voksenlia (OSL) cam1


gnomonic
Videot:
• Gnomoninen
• Gnomoninen koordinaateilla
• Alkuperäinen
• Alkuperäinen koordinaateilla
Kuvat:
• Gnomoninen
• Gnomoninen koordinaateilla
• Alkuperäinen
• Alkuperäinen koordinaateilla
Tekstitiedostot:
• Havaintoraportti
• Observaatio
• Koordinaatit
• Loki
Kirkkaus