🇳🇴 🇬🇧 🇩🇪 🇨🇿 🇫🇮

Meteor Flåin yllä 2025-08-11 23:44:28 UTC

KML-tiedosto  |  Interaktiivinen kartta

Kartta näyttää meteorin suuntahavainnot. Vaaleammat viivat näyttävät suunnat havaintoasemilta meteorin ilmestyessä, ja tummemmat viivat näyttävät, missä se viimeksi nähtiin. Sininen nuoli näyttää meteorin näkyvän lennon.

static map
height profile
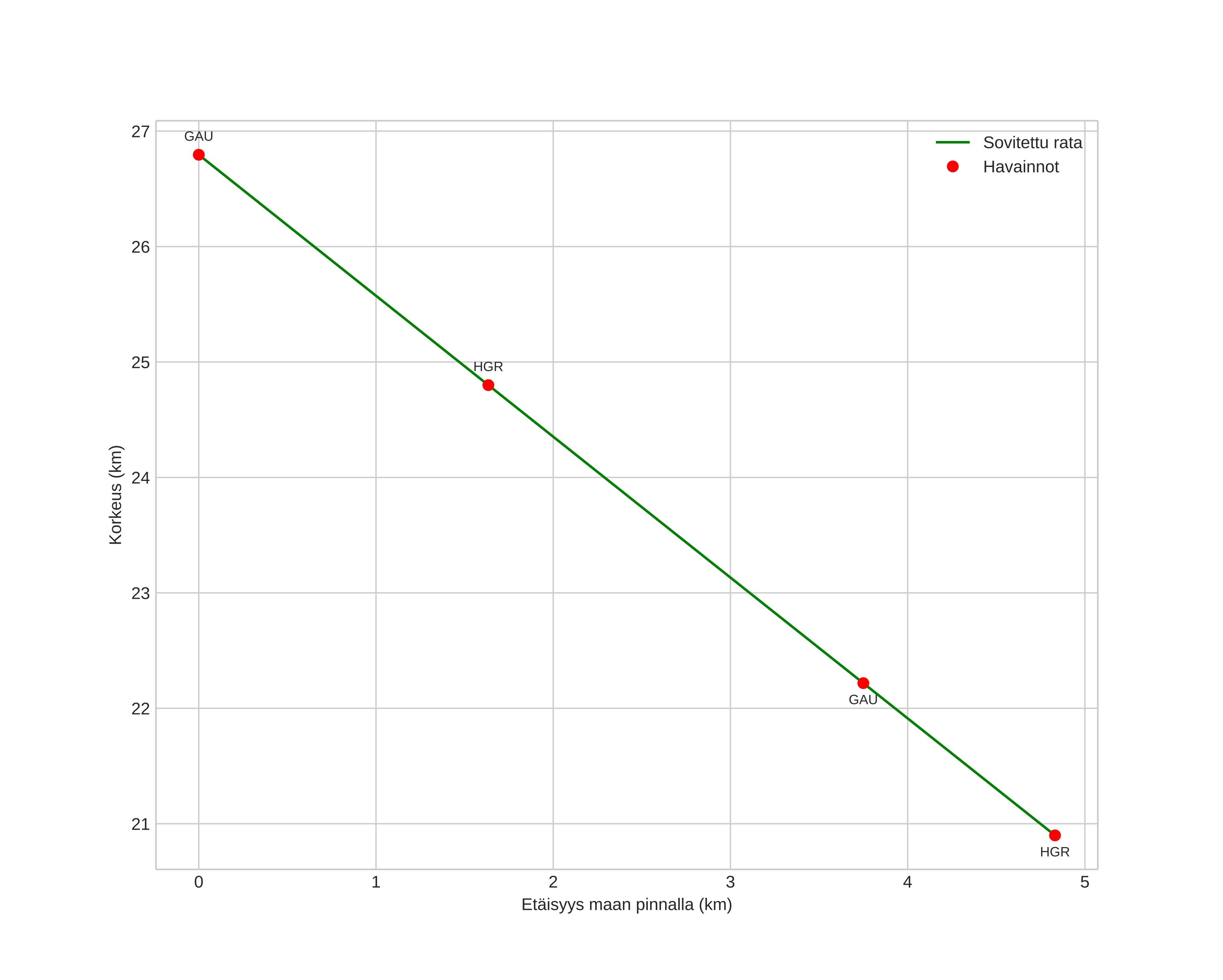
Meteorin ilmakehärata:
Alkukorkeus: 27,0 km
Loppukorkeus: 20,8 km
Alkupiste: 60,560N 9,572E
Loppupiste: 60,535N 9,493E
Suunta: 237,4°
Kallistuskulma: 50,3°
Tulonopeus: 17,5 km/s
Radiantin R,A,: 03:36 (54,2°)
Radiantin Dekl,: 53,9°
Meteoriparvi: Sporadinen
Meteoroidin rataelementit:
Perihelietäisyys: 0,304 AU
Eksentrisyys: 0,542
Inklinaatio: 21,4°
Nousevan solmun pituus: 139,2°
Perihelin argumentti: 6,9°
Keskianomalia: 160,5°
Epookki: 2025 AUG 11 23:44:28
orbit plot

Ei-interaktiivinen kuvaaja | Interaktiivinen kuvaaja

position vs time
speed and acceleration

Gaustatoppen (GAU) cam1


gnomonic
Videot:
• Gnomoninen
• Gnomoninen koordinaateilla
• Alkuperäinen
• Alkuperäinen koordinaateilla
Kuvat:
• Gnomoninen
• Gnomoninen koordinaateilla
• Alkuperäinen
• Alkuperäinen koordinaateilla
Tekstitiedostot:
• Havaintoraportti
• Observaatio
• Koordinaatit
• Loki
Kirkkaus

Hagar (HGR) cam1


gnomonic
Videot:
• Gnomoninen
• Gnomoninen koordinaateilla
• Alkuperäinen
• Alkuperäinen koordinaateilla
Kuvat:
• Gnomoninen
• Gnomoninen koordinaateilla
• Alkuperäinen
• Alkuperäinen koordinaateilla
Tekstitiedostot:
• Havaintoraportti
• Observaatio
• Koordinaatit
• Loki
Kirkkaus