🇳🇴 🇬🇧 🇩🇪 🇨🇿 🇫🇮

Meteor über Jondal 2025-08-11 23:44:34 UTC

KML-Datei  |  Interaktive Karte

Die Karte zeigt die Peilungen für den Meteor. Die helleren Linien zeigen die Richtungen von den Beobachtungsorten beim Erscheinen des Meteors, und die dunkleren Linien, wo er zuletzt gesehen wurde. Der blaue Pfeil zeigt die sichtbare Bahn des Meteors.

static map
height profile
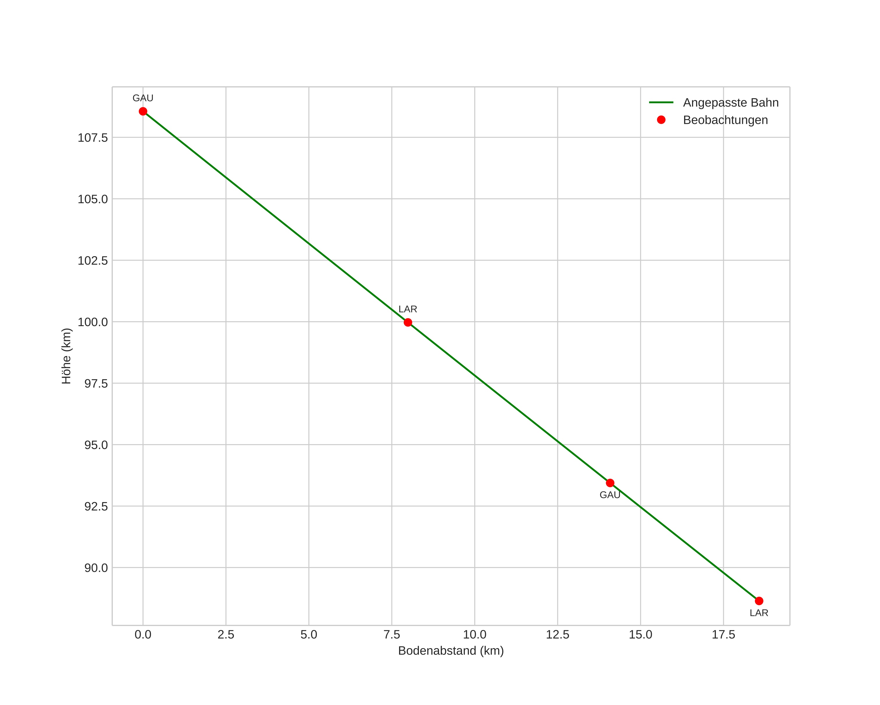
Atmosphärische Bahn des Meteors:
Anfangshöhe: 106,5 km
Endhöhe: 89,6 km
Startposition: 60,362N 6,418E
Endposition: 60,287N 6,189E
Richtung: 236,6°
Neigungswinkel: 48,2°
Eintrittsgeschwindigkeit: 52,7 km/s
Rektaszension des Radianten: 03:12 (48,0°)
Deklination des Radianten: 55,8°
Meteorstrom: Perseiden
Bahnelemente des Meteoroiden:
Periheldistanz: 0,874 AU
Exzentrizität: 0,387
Inklination: 109,8°
Länge des aufsteigenden Knotens: 139,2°
Argument des Perihels: 120,5°
Mittlere Anomalie: 26,9°
Epoche: 2025 AUG 11 23:44:34
orbit plot

Nicht-interaktives Diagramm | Interaktives Diagramm

position vs time
speed and acceleration

Gaustatoppen (GAU) cam5


gnomonic
Videos
• Gnomonisch
• Gnomonisch mit Koordinaten
• Original
• Original mit Koordinaten
Bilder
• Gnomonisch
• Gnomonisch mit Koordinaten
• Original
• Original mit Koordinaten
Textdateien
• Erkennung
• Beobachtung
• Koordinaten
• Protokoll
Helligkeit

Larvik (LAR) cam1


gnomonic
Videos
• Gnomonisch
• Gnomonisch mit Koordinaten
• Original
• Original mit Koordinaten
Bilder
• Gnomonisch
• Gnomonisch mit Koordinaten
• Original
• Original mit Koordinaten
Textdateien
• Erkennung
• Beobachtung
• Koordinaten
• Protokoll
Helligkeit