🇳🇴 🇬🇧 🇩🇪 🇨🇿 🇫🇮

Meteor Årnesin yllä 2025-08-12 00:09:31 UTC

KML-tiedosto  |  Interaktiivinen kartta

Kartta näyttää meteorin suuntahavainnot. Vaaleammat viivat näyttävät suunnat havaintoasemilta meteorin ilmestyessä, ja tummemmat viivat näyttävät, missä se viimeksi nähtiin. Sininen nuoli näyttää meteorin näkyvän lennon.

static map
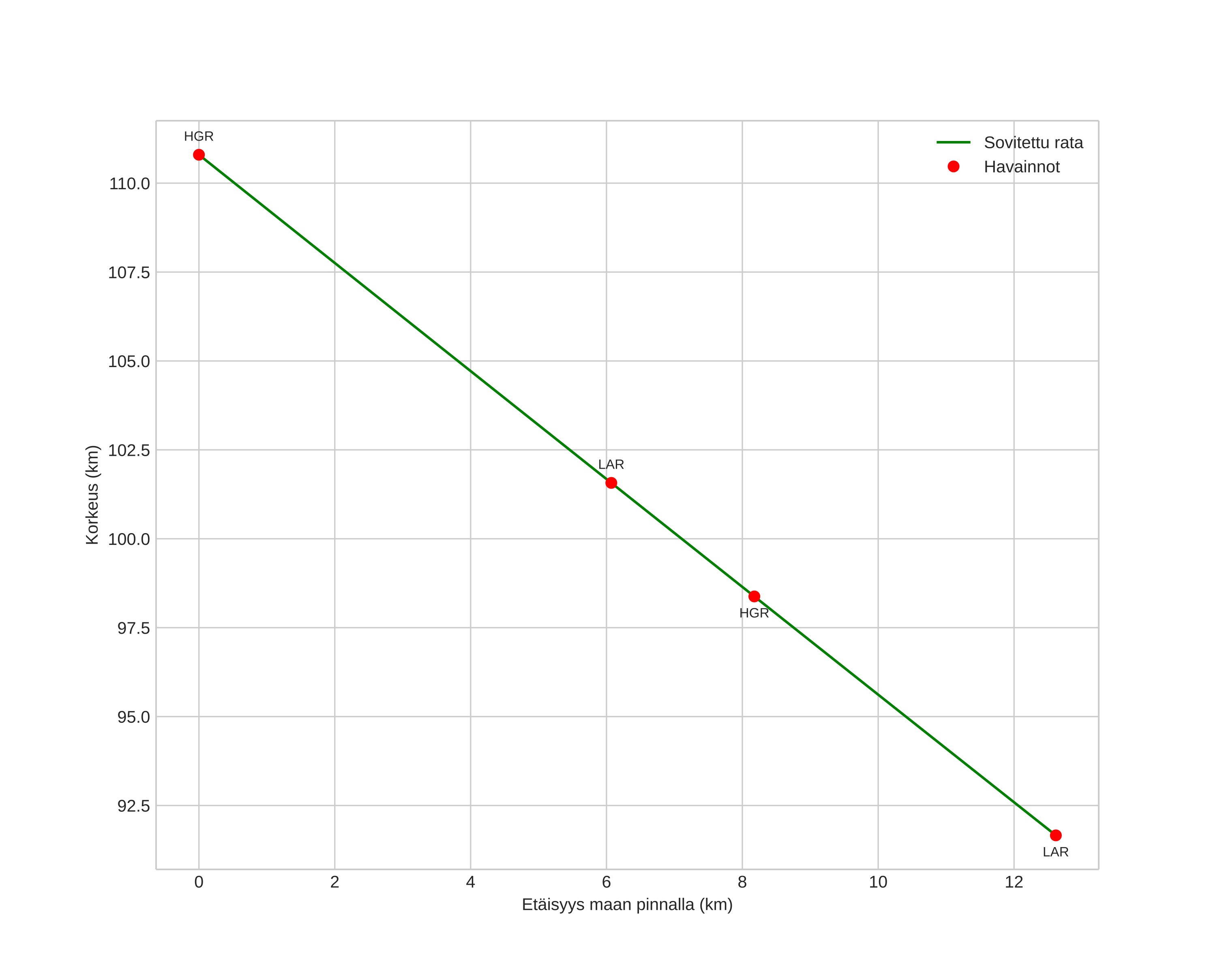
height profile
Meteorin ilmakehärata:
Alkukorkeus: 115,4 km
Loppukorkeus: 94,1 km
Alkupiste: 60,198N 11,767E
Loppupiste: 60,183N 11,545E
Suunta: 262,4°
Kallistuskulma: 59,8°
Tulonopeus: 73,0 km/s
Radiantin R,A,: 01:50 (27,5°)
Radiantin Dekl,: 51,3°
Meteoriparvi: Sporadinen
Meteoroidin rataelementit:
Perihelietäisyys: 1,010 AU
Eksentrisyys: 2,056
Inklinaatio: 122,9°
Nousevan solmun pituus: 139,2°
Perihelin argumentti: 185,7°
Keskianomalia: -3,5°
Epookki: 2025 AUG 12 00:09:31
orbit plot

Ei-interaktiivinen kuvaaja | Interaktiivinen kuvaaja

position vs time
speed and acceleration

Hagar (HGR) cam6


gnomonic
Videot:
• Gnomoninen
• Gnomoninen koordinaateilla
• Alkuperäinen
• Alkuperäinen koordinaateilla
Kuvat:
• Gnomoninen
• Gnomoninen koordinaateilla
• Alkuperäinen
• Alkuperäinen koordinaateilla
Tekstitiedostot:
• Havaintoraportti
• Observaatio
• Koordinaatit
• Loki
Kirkkaus

Larvik (LAR) cam1


gnomonic
Videot:
• Gnomoninen
• Gnomoninen koordinaateilla
• Alkuperäinen
• Alkuperäinen koordinaateilla
Kuvat:
• Gnomoninen
• Gnomoninen koordinaateilla
• Alkuperäinen
• Alkuperäinen koordinaateilla
Tekstitiedostot:
• Havaintoraportti
• Observaatio
• Koordinaatit
• Loki
Kirkkaus