🇳🇴 🇬🇧 🇩🇪 🇨🇿 🇫🇮

Meteor, poloha: Langesund 2025-08-12 00:40:44 UTC

Soubor KML  |  Interaktivní mapa

Mapa zobrazuje dráhy meteoru. Světlejší čáry ukazují směry od pozorovacích stanic při objevení se meteoru a tmavší čáry, kde byl naposledy viděn. Modrá šipka značí viditelnou dráhu meteoru.

static map
height profile
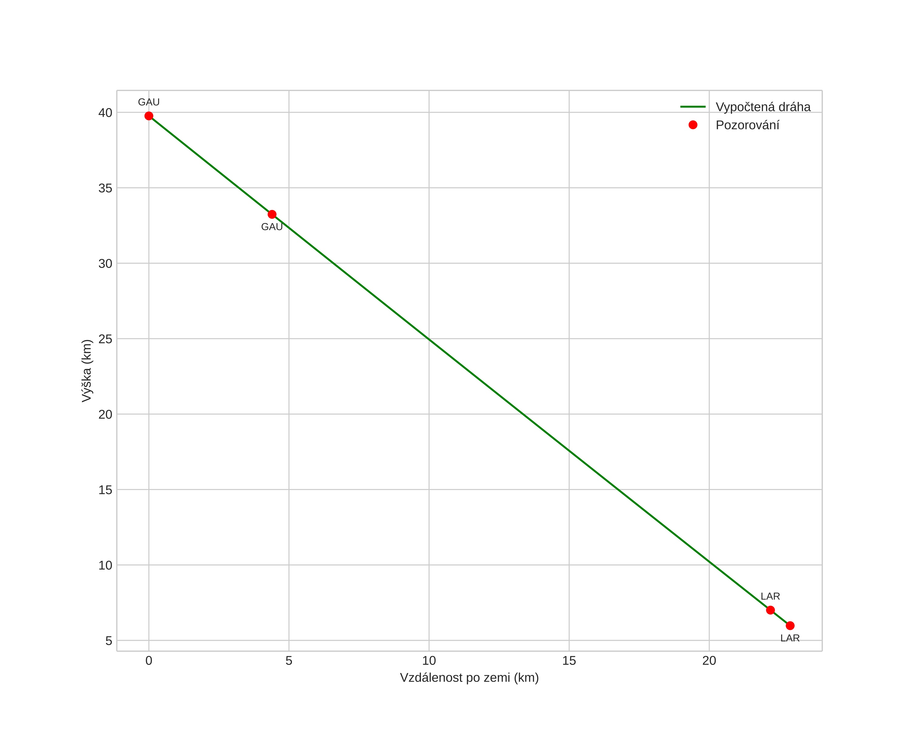
Atmosférická dráha meteoru:
Počáteční výška: 39,2 km
Konečná výška: 6,0 km
Počáteční poloha: 59,049N 10,050E
Konečná poloha: 58,960N 9,700E
Směr: 243,8°
Sklon: 56,1°
Vstupní rychlost: 4,5 km/s
position vs time
speed and acceleration