🇳🇴 🇬🇧 🇩🇪 🇨🇿 🇫🇮

Meteor Teigebyenin yllä 2025-08-12 01:23:21 UTC

KML-tiedosto  |  Interaktiivinen kartta

Kartta näyttää meteorin suuntahavainnot. Vaaleammat viivat näyttävät suunnat havaintoasemilta meteorin ilmestyessä, ja tummemmat viivat näyttävät, missä se viimeksi nähtiin. Sininen nuoli näyttää meteorin näkyvän lennon.

static map
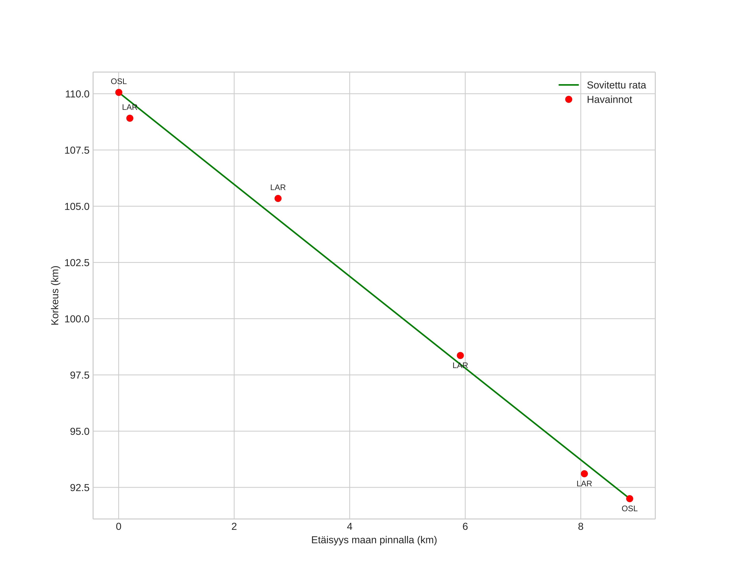
height profile
Meteorin ilmakehärata:
Alkukorkeus: 113,0 km
Loppukorkeus: 91,9 km
Alkupiste: 60,196N 11,174E
Loppupiste: 60,172N 10,994E
Suunta: 255,1°
Kallistuskulma: 64,0°
Tulonopeus: 70,6 km/s
Radiantin R,A,: 02:50 (42,6°)
Radiantin Dekl,: 56,6°
Meteoriparvi: Perseidit
Meteoroidin rataelementit:
Perihelietäisyys: 0,989 AU
Eksentrisyys: 1,872
Inklinaatio: 119,8°
Nousevan solmun pituus: 139,3°
Perihelin argumentti: 164,3°
Keskianomalia: 7,6°
Epookki: 2025 AUG 12 01:23:21
orbit plot

Ei-interaktiivinen kuvaaja | Interaktiivinen kuvaaja

position vs time
speed and acceleration

Larvik (LAR) cam1


gnomonic
Videot:
• Gnomoninen
• Gnomoninen koordinaateilla
• Alkuperäinen
• Alkuperäinen koordinaateilla
Kuvat:
• Gnomoninen
• Gnomoninen koordinaateilla
• Alkuperäinen
• Alkuperäinen koordinaateilla
Tekstitiedostot:
• Havaintoraportti
• Observaatio
• Koordinaatit
• Loki
Kirkkaus

Larvik (LAR) cam2


gnomonic
Videot:
• Gnomoninen
• Gnomoninen koordinaateilla
• Alkuperäinen
• Alkuperäinen koordinaateilla
Kuvat:
• Gnomoninen
• Gnomoninen koordinaateilla
• Alkuperäinen
• Alkuperäinen koordinaateilla
Tekstitiedostot:
• Havaintoraportti
• Observaatio
• Koordinaatit
• Loki
Kirkkaus

Voksenlia (OSL) cam6


gnomonic
Videot:
• Gnomoninen
• Gnomoninen koordinaateilla
• Alkuperäinen
• Alkuperäinen koordinaateilla
Kuvat:
• Gnomoninen
• Gnomoninen koordinaateilla
• Alkuperäinen
• Alkuperäinen koordinaateilla
Tekstitiedostot:
• Havaintoraportti
• Observaatio
• Koordinaatit
• Loki
Kirkkaus