🇳🇴 🇬🇧 🇩🇪 🇨🇿 🇫🇮

Meteor, poloha: Seljord 2025-08-13 21:08:06 UTC

Soubor KML  |  Interaktivní mapa

Mapa zobrazuje dráhy meteoru. Světlejší čáry ukazují směry od pozorovacích stanic při objevení se meteoru a tmavší čáry, kde byl naposledy viděn. Modrá šipka značí viditelnou dráhu meteoru.

static map
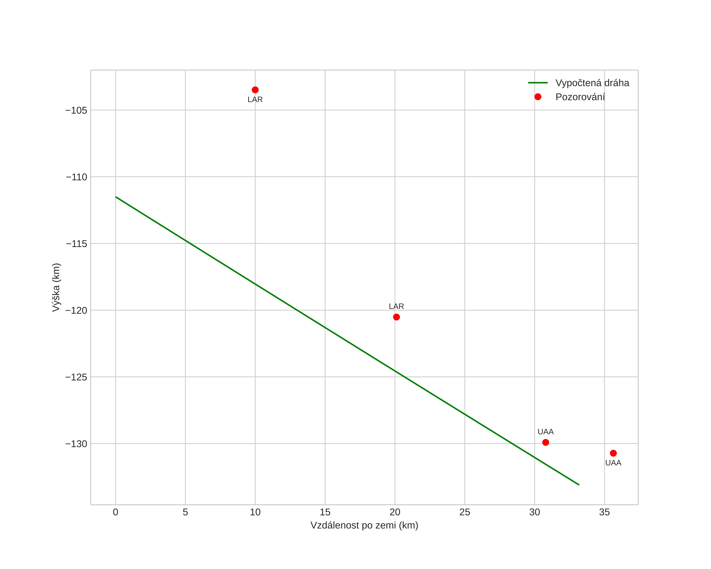
height profile
Atmosférická dráha meteoru:
Počáteční výška: -112,7 km
Konečná výška: -132,5 km
Počáteční poloha: 59,554N 9,147E
Konečná poloha: 59,485N 8,629E
Směr: 255,5°
Sklon: 33,2°
position vs time
speed and acceleration