🇳🇴 🇬🇧 🇩🇪 🇨🇿 🇫🇮

Meteor, poloha: Skien 2025-08-14 00:26:36 UTC

Soubor KML  |  Interaktivní mapa

Mapa zobrazuje dráhy meteoru. Světlejší čáry ukazují směry od pozorovacích stanic při objevení se meteoru a tmavší čáry, kde byl naposledy viděn. Modrá šipka značí viditelnou dráhu meteoru.

static map
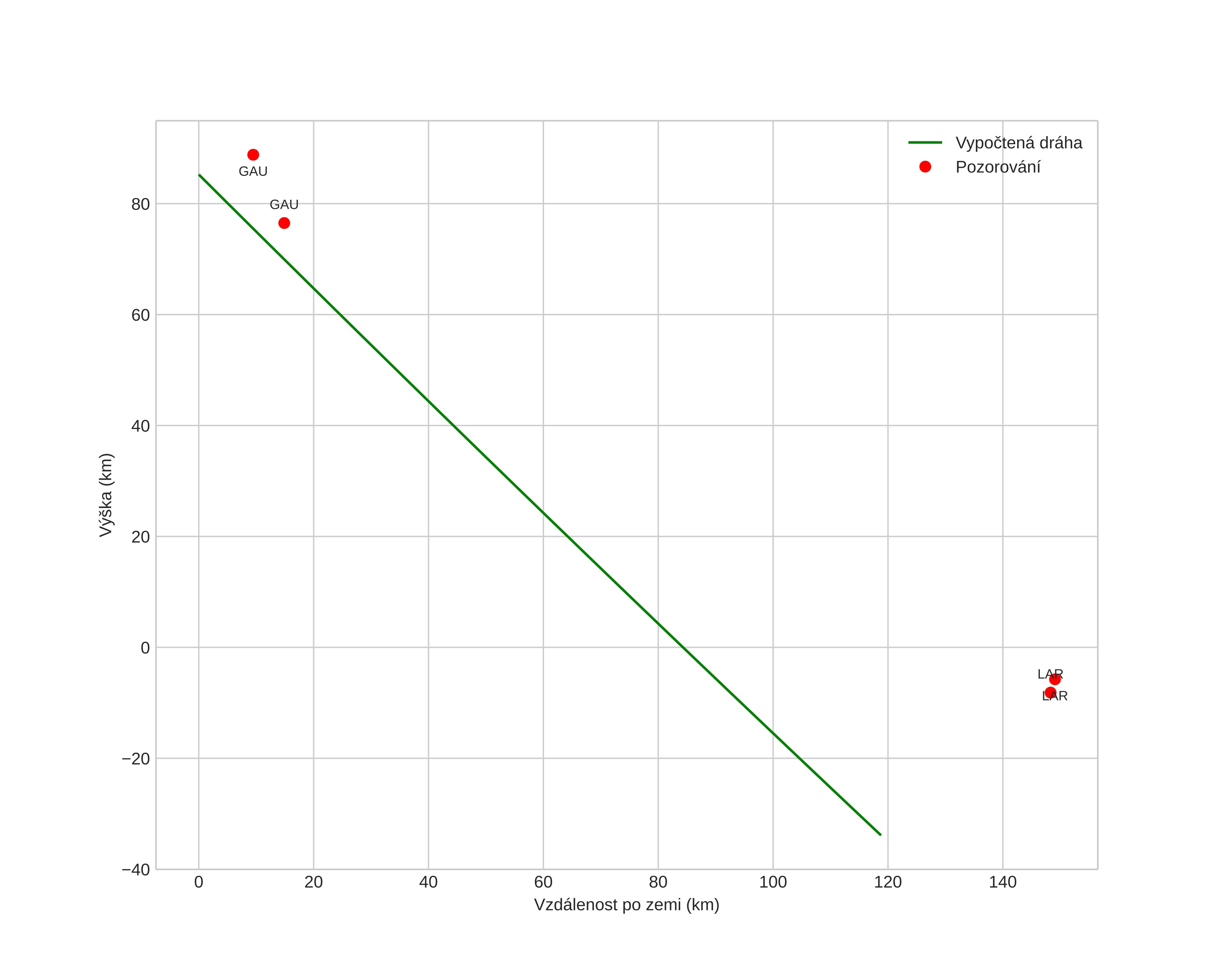
height profile
Atmosférická dráha meteoru:
Počáteční výška: 80,1 km
Konečná výška: -33,9 km
Počáteční poloha: 60,297N 8,890E
Konečná poloha: 59,287N 9,502E
Směr: 162,8°
Sklon: 44,2°
position vs time
speed and acceleration