🇳🇴 🇬🇧 🇩🇪 🇨🇿 🇫🇮

Meteor, poloha: Malung 2025-08-15 21:14:08 UTC

Soubor KML  |  Interaktivní mapa

Mapa zobrazuje dráhy meteoru. Světlejší čáry ukazují směry od pozorovacích stanic při objevení se meteoru a tmavší čáry, kde byl naposledy viděn. Modrá šipka značí viditelnou dráhu meteoru.

static map
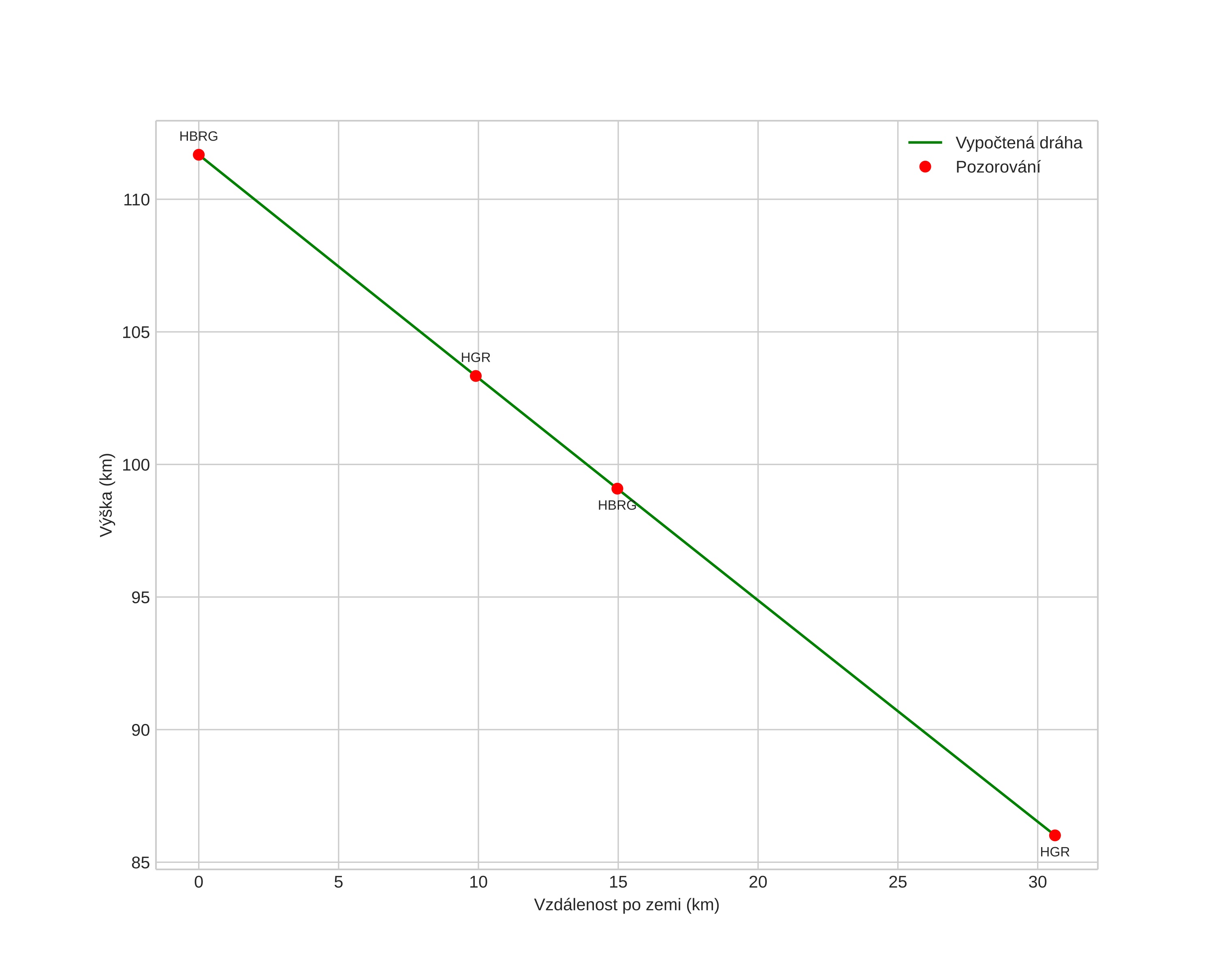
height profile
Atmosférická dráha meteoru:
Počáteční výška: 111,7 km
Konečná výška: 86,0 km
Počáteční poloha: 61,131N 14,206E
Konečná poloha: 60,903N 13,889E
Směr: 214,1°
Sklon: 40,0°
Vstupní rychlost: 56,3 km/s
Rektascenze radiantu: 03:47 (57,0°)
Deklinace radiantu: 60,1°
Meteorický roj: Perseidy
Elementy dráhy meteoroidu:
Vzdálenost v periheliu: 0,896 AU
Excentricita: 0,725
Sklon dráhy: 108,6°
Délka vzestupného uzlu: 142,9°
Argument perihelia: 136,5°
Střední anomálie: 5,2°
Epocha: 2025 AUG 15 21:14:08
orbit plot

Neinteraktivní graf | Interaktivní graf

position vs time
speed and acceleration