🇳🇴 🇬🇧 🇩🇪 🇨🇿 🇫🇮

Meteor, poloha: Vansbro 2025-08-15 21:39:13 UTC

Soubor KML  |  Interaktivní mapa

Mapa zobrazuje dráhy meteoru. Světlejší čáry ukazují směry od pozorovacích stanic při objevení se meteoru a tmavší čáry, kde byl naposledy viděn. Modrá šipka značí viditelnou dráhu meteoru.

static map
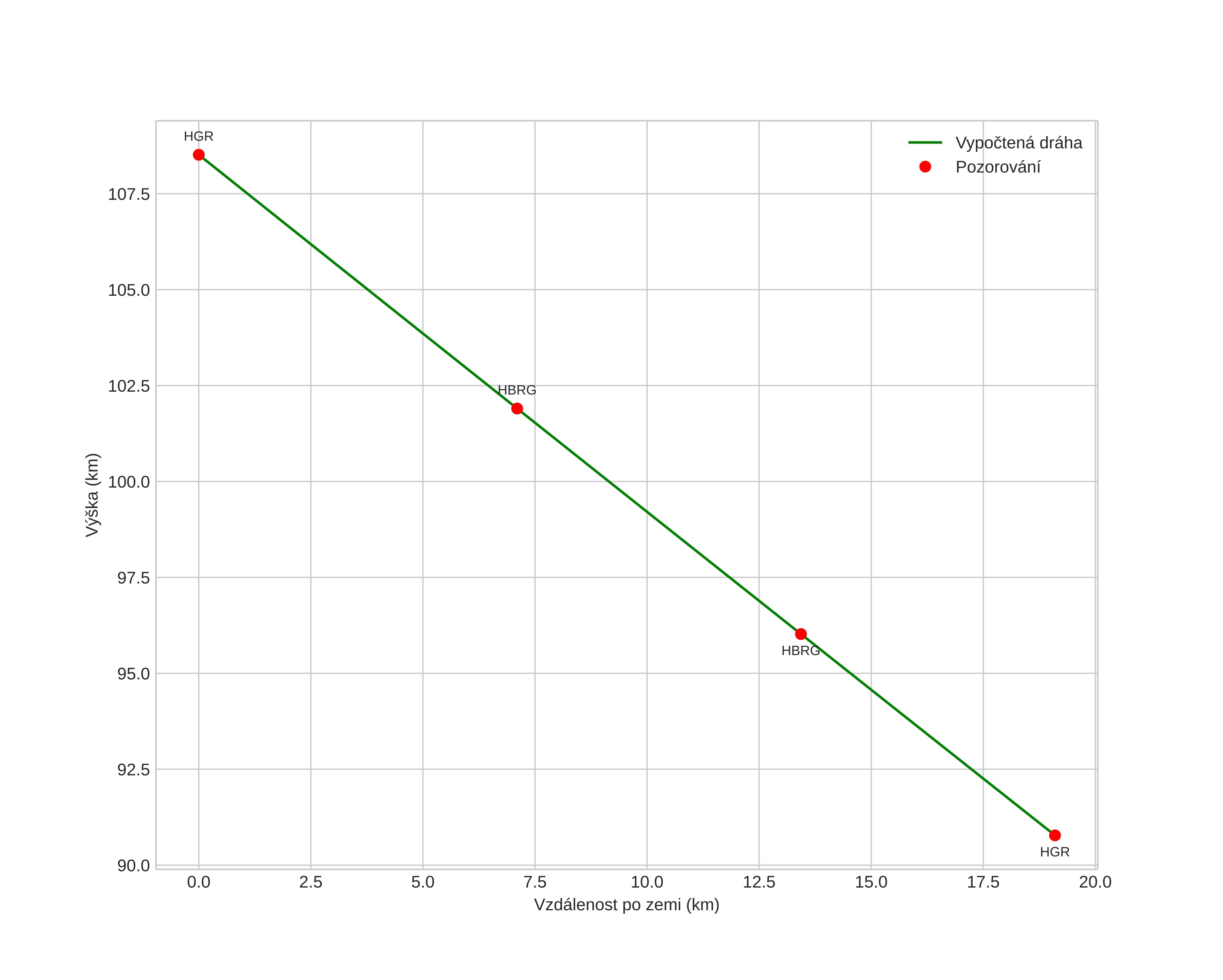
height profile
Atmosférická dráha meteoru:
Počáteční výška: 109,0 km
Konečná výška: 90,2 km
Počáteční poloha: 60,345N 14,382E
Konečná poloha: 60,212N 14,131E
Směr: 223,0°
Sklon: 42,8°
Vstupní rychlost: 61,7 km/s
Rektascenze radiantu: 03:12 (48,2°)
Deklinace radiantu: 58,7°
Meteorický roj: Perseidy
Elementy dráhy meteoroidu:
Vzdálenost v periheliu: 0,975 AU
Excentricita: 1,060
Sklon dráhy: 113,9°
Délka vzestupného uzlu: 143,0°
Argument perihelia: 158,2°
Střední anomálie: 0,2°
Epocha: 2025 AUG 15 21:39:13
orbit plot

Neinteraktivní graf | Interaktivní graf

position vs time
speed and acceleration