🇳🇴 🇬🇧 🇩🇪 🇨🇿 🇫🇮

Meteor Hermansverkin yllä 2025-08-15 23:47:19 UTC

KML-tiedosto  |  Interaktiivinen kartta

Kartta näyttää meteorin suuntahavainnot. Vaaleammat viivat näyttävät suunnat havaintoasemilta meteorin ilmestyessä, ja tummemmat viivat näyttävät, missä se viimeksi nähtiin. Sininen nuoli näyttää meteorin näkyvän lennon.

static map
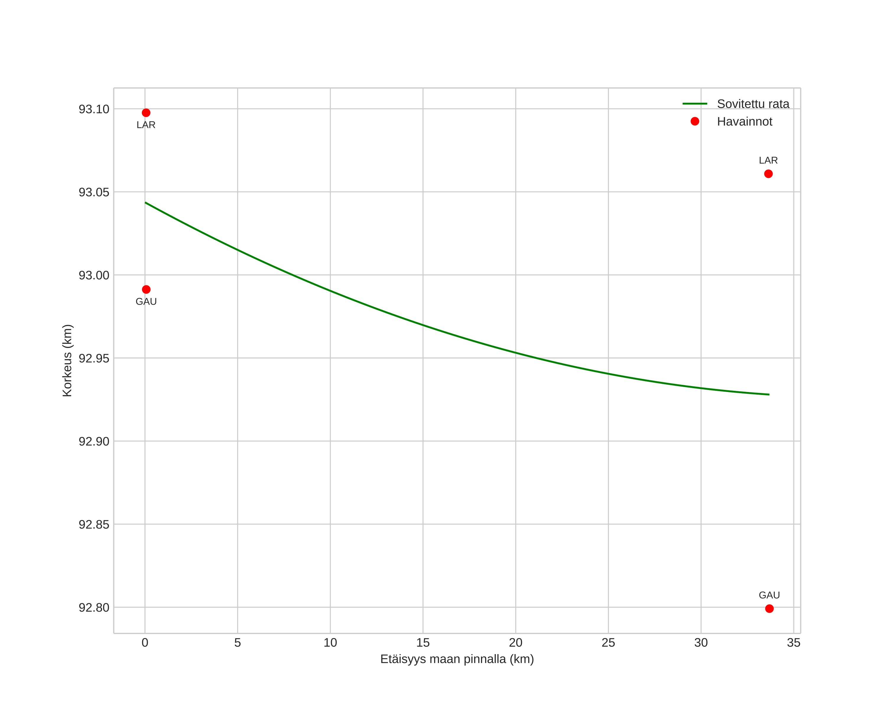
height profile
Meteorin ilmakehärata:
Alkukorkeus: 99,5 km
Loppukorkeus: 92,1 km
Alkupiste: 61,371N 7,282E
Loppupiste: 61,446N 6,906E
Suunta: 292,9°
Kallistuskulma: 18,8°
Tulonopeus: 66,0 km/s
Radiantin R,A,: 01:59 (29,8°)
Radiantin Dekl,: 5,5°
Meteoriparvi: Sporadinen
Meteoroidin rataelementit:
Perihelietäisyys: 0,566 AU
Eksentrisyys: 0,905
Inklinaatio: 166,7°
Nousevan solmun pituus: 323,0°
Perihelin argumentti: 85,9°
Keskianomalia: 357,2°
Epookki: 2025 AUG 15 23:47:19
orbit plot

Ei-interaktiivinen kuvaaja | Interaktiivinen kuvaaja

position vs time
speed and acceleration

Gaustatoppen (GAU) cam1


gnomonic
Videot:
• Gnomoninen
• Gnomoninen koordinaateilla
• Alkuperäinen
• Alkuperäinen koordinaateilla
Kuvat:
• Gnomoninen
• Gnomoninen koordinaateilla
• Alkuperäinen
• Alkuperäinen koordinaateilla
Tekstitiedostot:
• Havaintoraportti
• Observaatio
• Koordinaatit
• Loki
Kirkkaus

Larvik (LAR) cam1


gnomonic
Videot:
• Gnomoninen
• Gnomoninen koordinaateilla
• Alkuperäinen
• Alkuperäinen koordinaateilla
Kuvat:
• Gnomoninen
• Gnomoninen koordinaateilla
• Alkuperäinen
• Alkuperäinen koordinaateilla
Tekstitiedostot:
• Havaintoraportti
• Observaatio
• Koordinaatit
• Loki
Kirkkaus