🇳🇴 🇬🇧 🇩🇪 🇨🇿 🇫🇮

Meteor, poloha: BrĂĄlanda 2025-08-16 21:11:56 UTC

Soubor KML  |  InteraktivnĂ­ mapa

Mapa zobrazuje dráhy meteoru. Světlejší čáry ukazují směry od pozorovacích stanic při objevení se meteoru a tmavší čáry, kde byl naposledy viděn. Modrá šipka značí viditelnou dráhu meteoru.

static map
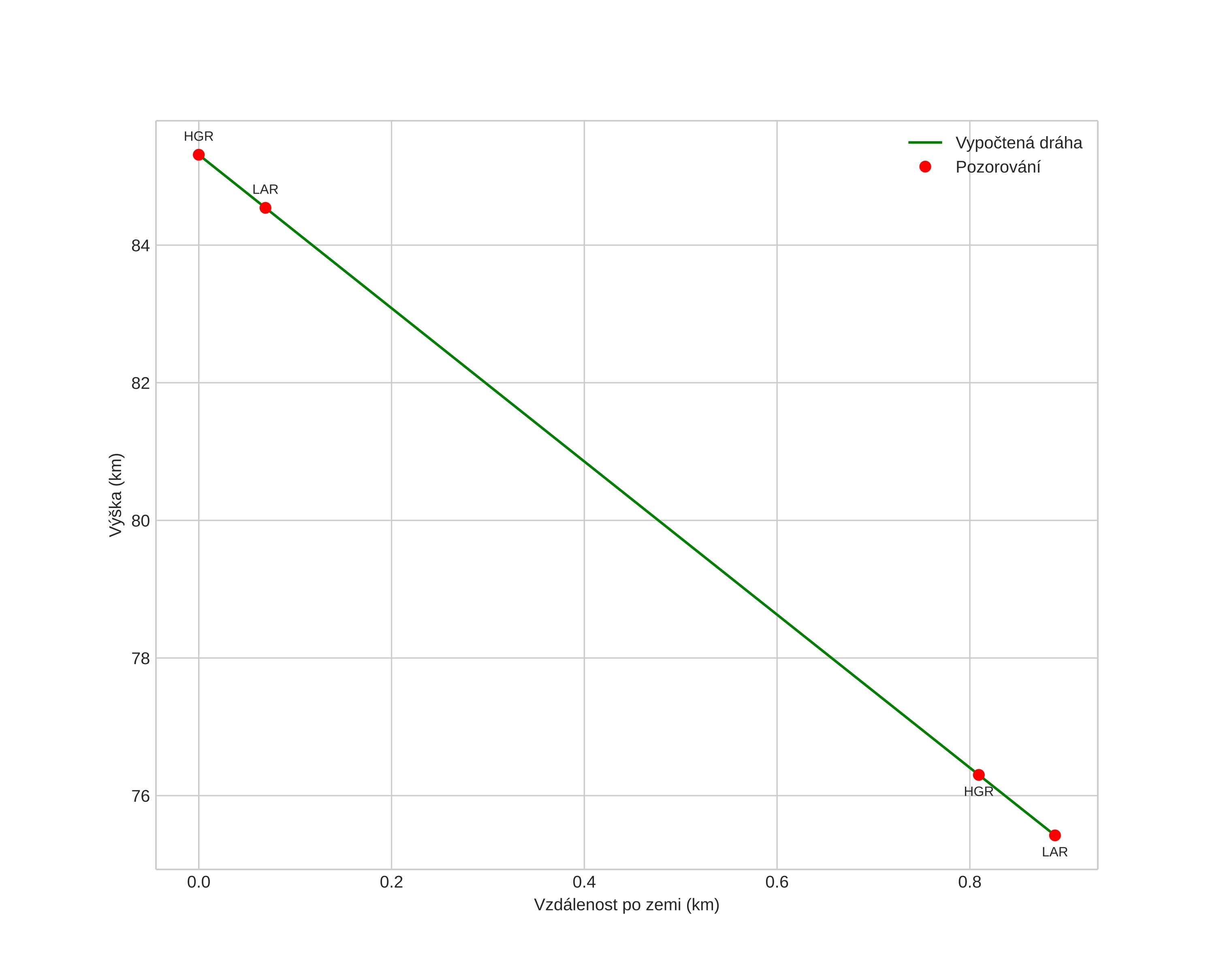
height profile
Atmosférická dráha meteoru:
Počáteční výška: 88,3 km
Konečná výška: 75,4 km
Počáteční poloha: 58,603N 12,282E
Konečná poloha: 58,608N 12,299E
Směr: 58,0°
Sklon: 84,9°
VstupnĂ­ rychlost: 27,2 km/s
Rektascenze radiantu: 19:06 (286,6°)
Deklinace radiantu: 55,2°
MeteorickĂ˝ roj: Kappa Cygnidy
Elementy dráhy meteoroidu:
Vzdálenost v periheliu: 0,984 AU
Excentricita: 0,778
Sklon dráhy: 38,3°
Délka vzestupného uzlu: 143,9°
Argument perihelia: 200,5°
Střední anomálie: 358,4°
Epocha: 2025 AUG 16 21:11:56
orbit plot

NeinteraktivnĂ­ graf | InteraktivnĂ­ graf

position vs time
speed and acceleration

Hagar (HGR) cam4


gnomonic
Videa
• Gnomonická
• Gnomonická se souřadnicemi
• Původní
• Původní se souřadnicemi
Obrázky
• Gnomonická
• Gnomonická se souřadnicemi
• Původní
• Původní se souřadnicemi
Textové soubory
• Detekce
• Pozorování
• Souřadnice
• Protokol
Jasnost

Larvik (LAR) cam3


gnomonic
Videa
• Gnomonická
• Gnomonická se souřadnicemi
• Původní
• Původní se souřadnicemi
Obrázky
• Gnomonická
• Gnomonická se souřadnicemi
• Původní
• Původní se souřadnicemi
Textové soubory
• Detekce
• Pozorování
• Souřadnice
• Protokol
Jasnost