🇳🇴 🇬🇧 🇩🇪 🇨🇿 🇫🇮

Meteor, poloha: Torsby 2025-08-17 00:03:14 UTC

Soubor KML  |  Interaktivní mapa

Mapa zobrazuje dráhy meteoru. Světlejší čáry ukazují směry od pozorovacích stanic při objevení se meteoru a tmavší čáry, kde byl naposledy viděn. Modrá šipka značí viditelnou dráhu meteoru.

static map
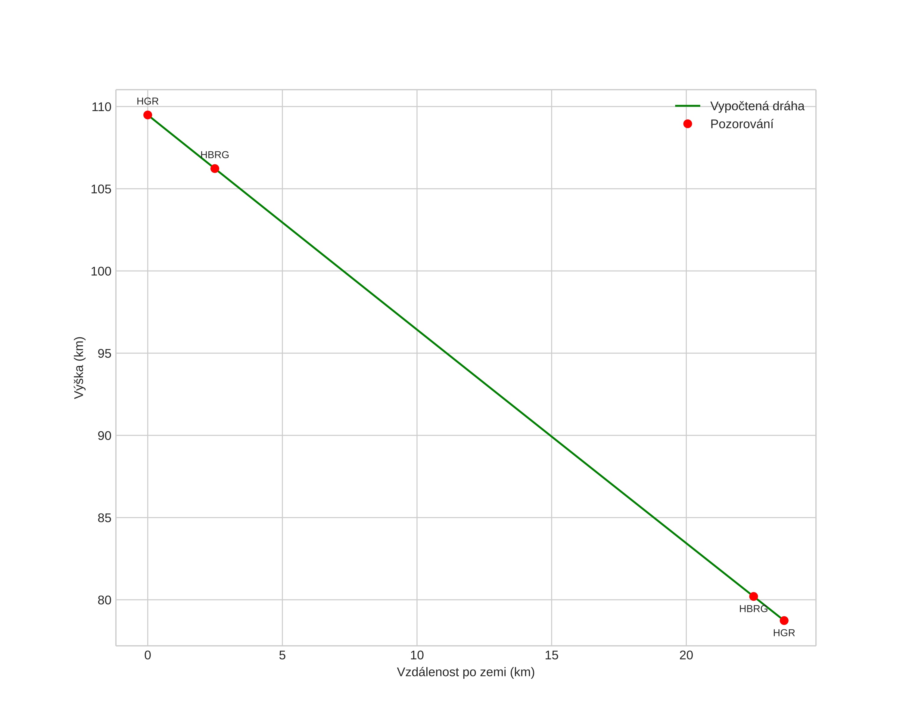
height profile
Atmosférická dráha meteoru:
Počáteční výška: 108,6 km
Konečná výška: 78,5 km
Počáteční poloha: 60,109N 13,385E
Konečná poloha: 59,992N 13,046E
Směr: 235,4°
Sklon: 52,8°
Vstupní rychlost: 52,4 km/s
Rektascenze radiantu: 03:53 (58,3°)
Deklinace radiantu: 59,3°
Meteorický roj: Perseidy
Elementy dráhy meteoroidu:
Vzdálenost v periheliu: 0,848 AU
Excentricita: 0,465
Sklon dráhy: 106,3°
Délka vzestupného uzlu: 144,0°
Argument perihelia: 119,3°
Střední anomálie: 22,2°
Epocha: 2025 AUG 17 00:03:14
orbit plot

Neinteraktivní graf | Interaktivní graf

position vs time
speed and acceleration