🇳🇴 🇬🇧 🇩🇪 🇨🇿 🇫🇮

Meteor, poloha: Notodden 2025-08-17 00:43:03 UTC

Soubor KML  |  Interaktivní mapa

Mapa zobrazuje dráhy meteoru. Světlejší čáry ukazují směry od pozorovacích stanic při objevení se meteoru a tmavší čáry, kde byl naposledy viděn. Modrá šipka značí viditelnou dráhu meteoru.

static map
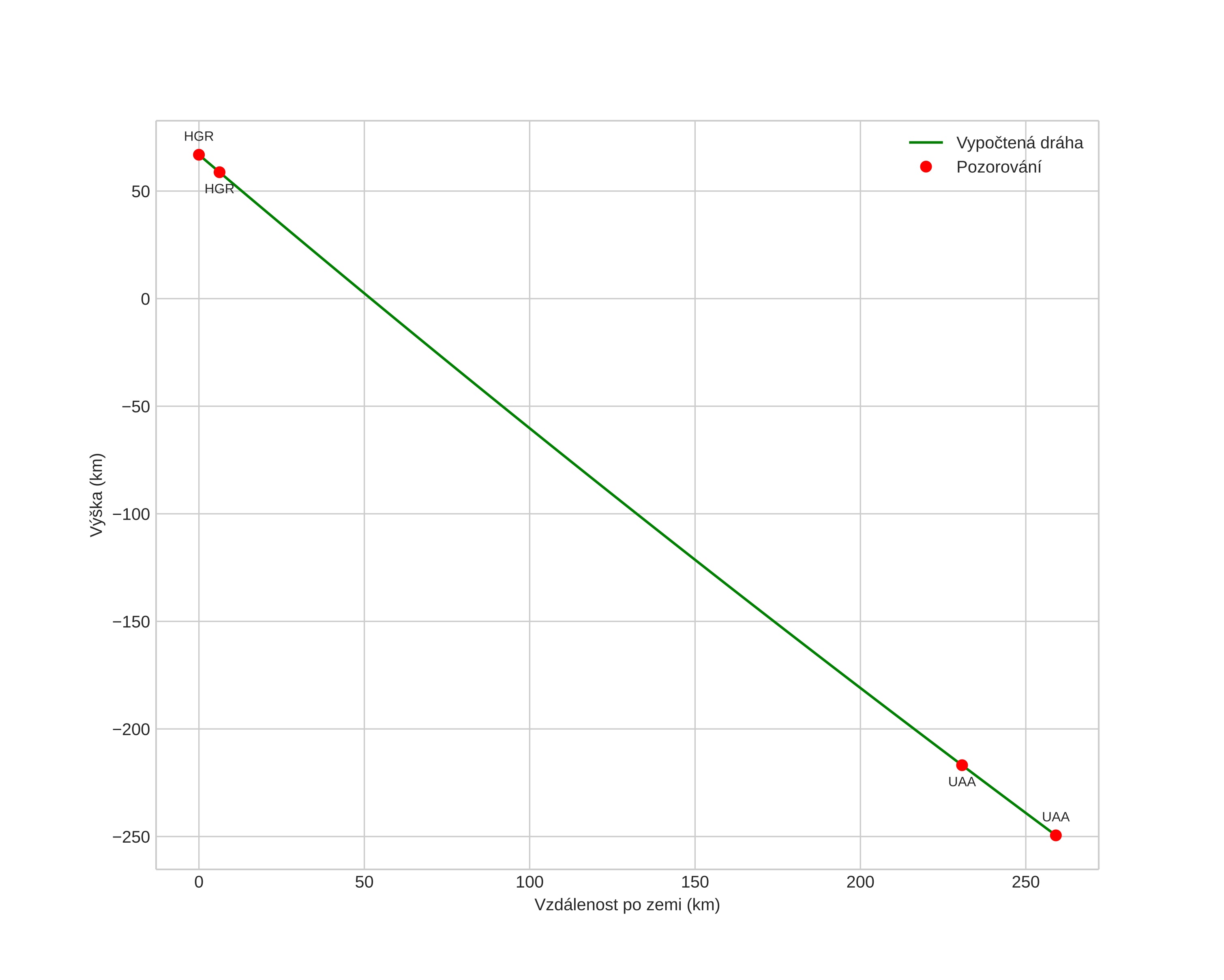
height profile
Atmosférická dráha meteoru:
Počáteční výška: 70,3 km
Konečná výška: -248,5 km
Počáteční poloha: 59,414N 13,889E
Konečná poloha: 59,740N 9,317E
Směr: 280,0°
Sklon: 50,8°
Vstupní rychlost: 59,8 km/s
Rektascenze radiantu: 02:46 (41,7°)
Deklinace radiantu: 37,3°
Meteorický roj: sporadický
Elementy dráhy meteoroidu:
Vzdálenost v periheliu: 0,983 AU
Excentricita: 0,244
Sklon dráhy: 141,4°
Délka vzestupného uzlu: 144,0°
Argument perihelia: 211,8°
Střední anomálie: 340,9°
Epocha: 2025 AUG 17 00:43:03
orbit plot

Neinteraktivní graf | Interaktivní graf

position vs time
speed and acceleration