🇳🇴 🇬🇧 🇩🇪 🇨🇿 🇫🇮

Meteor, poloha: Rakkestad 2025-08-17 21:37:08 UTC

Soubor KML  |  Interaktivní mapa

Mapa zobrazuje dráhy meteoru. Světlejší čáry ukazují směry od pozorovacích stanic při objevení se meteoru a tmavší čáry, kde byl naposledy viděn. Modrá šipka značí viditelnou dráhu meteoru.

static map
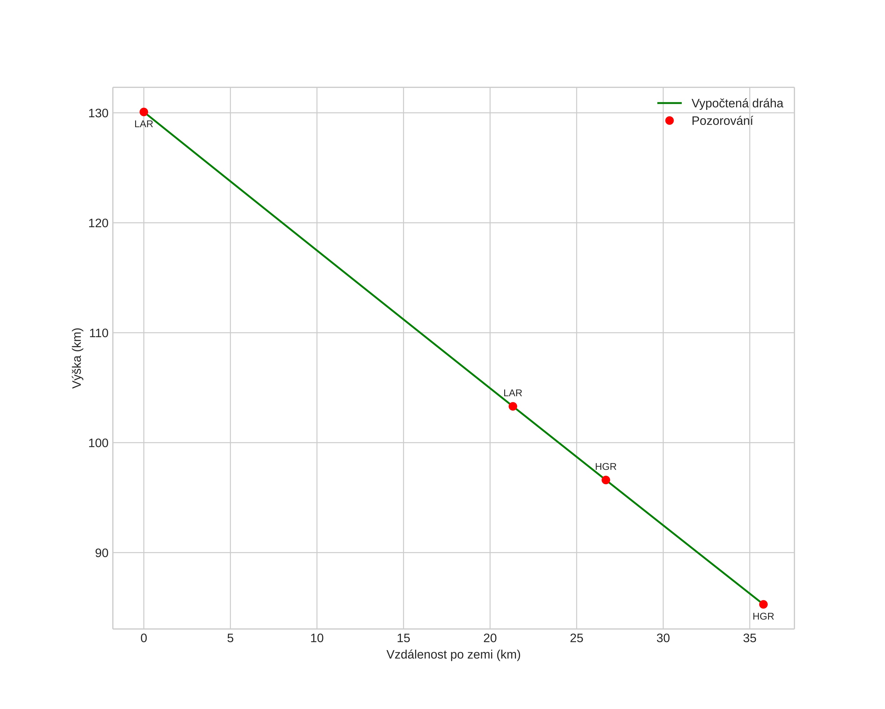
height profile
Atmosférická dráha meteoru:
Počáteční výška: 119,5 km
Konečná výška: 84,6 km
Počáteční poloha: 59,458N 11,925E
Konečná poloha: 59,501N 11,441E
Směr: 280,2°
Sklon: 51,5°
position vs time
speed and acceleration