🇳🇴 🇬🇧 🇩🇪 🇨🇿 🇫🇮

Meteor, poloha: Öregrund 2025-08-18 00:22:58 UTC

Soubor KML  |  Interaktivní mapa

Mapa zobrazuje dráhy meteoru. Světlejší čáry ukazují směry od pozorovacích stanic při objevení se meteoru a tmavší čáry, kde byl naposledy viděn. Modrá šipka značí viditelnou dráhu meteoru.

static map
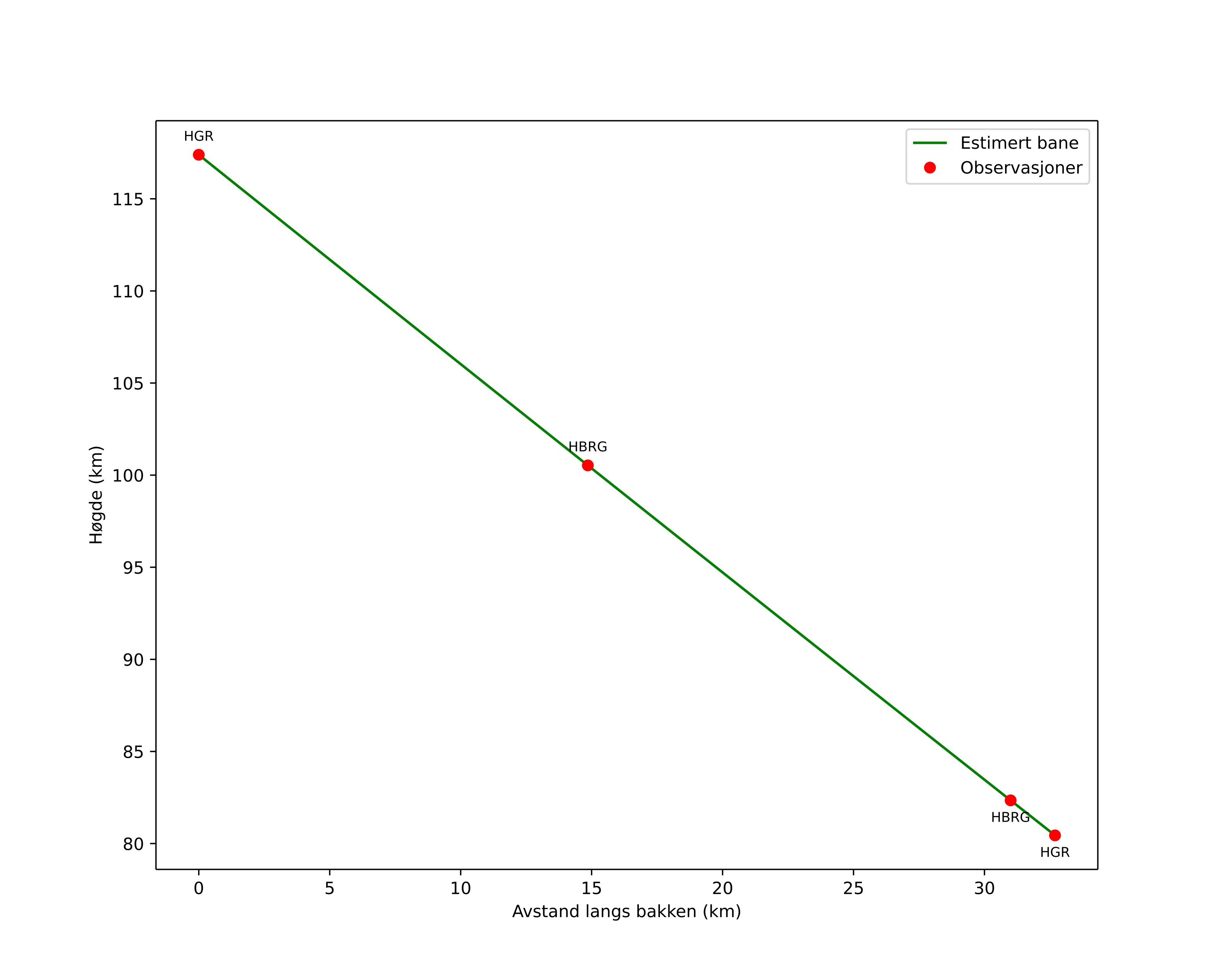
height profile
Atmosférická dráha meteoru:
Počáteční výška: 118,3 km
Konečná výška: 80,3 km
Počáteční poloha: 60,980N 19,272E
Konečná poloha: 60,903N 18,673E
Směr: 255,4°
Sklon: 48,6°
Vstupní rychlost: 79,4 km/s
Rektascenze radiantu: 04:08 (62,2°)
Deklinace radiantu: 47,3°
Meteorický roj: sporadický
Elementy dráhy meteoroidu:
Vzdálenost v periheliu: 0,939 AU
Excentricita: 2,307
Sklon dráhy: 138,7°
Délka vzestupného uzlu: 145,0°
Argument perihelia: 153,6°
Střední anomálie: 22,8°
Epocha: 2025 AUG 18 00:22:58
orbit plot

Neinteraktivní graf | Interaktivní graf

position vs time
speed and acceleration