🇳🇴 🇬🇧 🇩🇪 🇨🇿 🇫🇮

Meteor Öregrundin yllä 2025-08-18 00:22:58 UTC

KML-tiedosto  |  Interaktiivinen kartta

Kartta näyttää meteorin suuntahavainnot. Vaaleammat viivat näyttävät suunnat havaintoasemilta meteorin ilmestyessä, ja tummemmat viivat näyttävät, missä se viimeksi nähtiin. Sininen nuoli näyttää meteorin näkyvän lennon.

static map
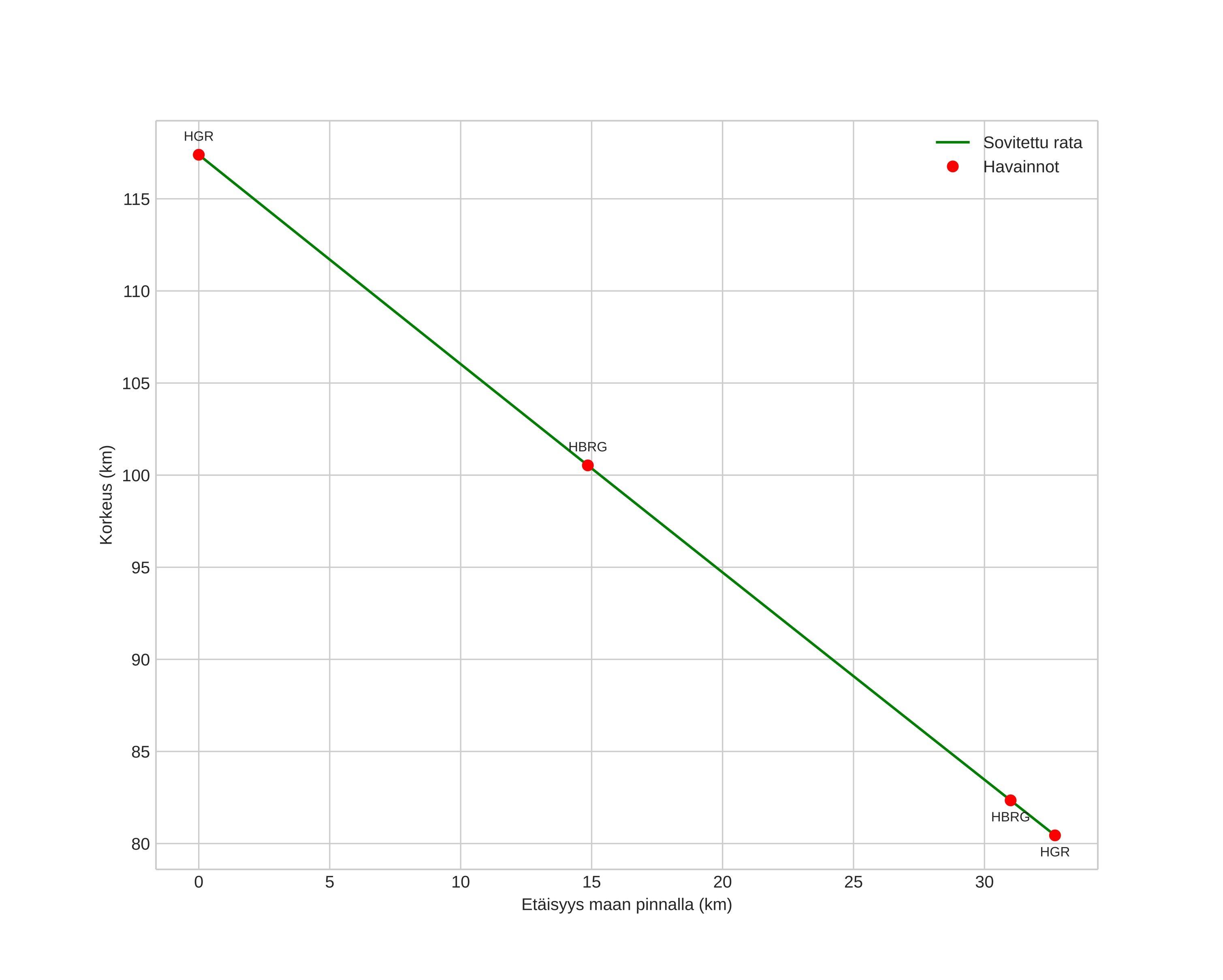
height profile
Meteorin ilmakehärata:
Alkukorkeus: 118,3 km
Loppukorkeus: 80,3 km
Alkupiste: 60,980N 19,272E
Loppupiste: 60,903N 18,673E
Suunta: 255,4°
Kallistuskulma: 48,6°
Tulonopeus: 79,4 km/s
Radiantin R,A,: 04:08 (62,2°)
Radiantin Dekl,: 47,3°
Meteoriparvi: Sporadinen
Meteoroidin rataelementit:
Perihelietäisyys: 0,939 AU
Eksentrisyys: 2,307
Inklinaatio: 138,7°
Nousevan solmun pituus: 145,0°
Perihelin argumentti: 153,6°
Keskianomalia: 22,8°
Epookki: 2025 AUG 18 00:22:58
orbit plot

Ei-interaktiivinen kuvaaja | Interaktiivinen kuvaaja

position vs time
speed and acceleration

Hagar (HGR) cam3


gnomonic
Videot:
• Gnomoninen
• Gnomoninen koordinaateilla
• Alkuperäinen
• Alkuperäinen koordinaateilla
Kuvat:
• Gnomoninen
• Gnomoninen koordinaateilla
• Alkuperäinen
• Alkuperäinen koordinaateilla
Tekstitiedostot:
• Havaintoraportti
• Observaatio
• Koordinaatit
• Loki
Kirkkaus