🇳🇴 🇬🇧 🇩🇪 🇨🇿 🇫🇮

Meteor über Filipstad 2025-08-18 23:00:27 UTC

KML-Datei  |  Interaktive Karte

Die Karte zeigt die Peilungen für den Meteor. Die helleren Linien zeigen die Richtungen von den Beobachtungsorten beim Erscheinen des Meteors, und die dunkleren Linien, wo er zuletzt gesehen wurde. Der blaue Pfeil zeigt die sichtbare Bahn des Meteors.

static map
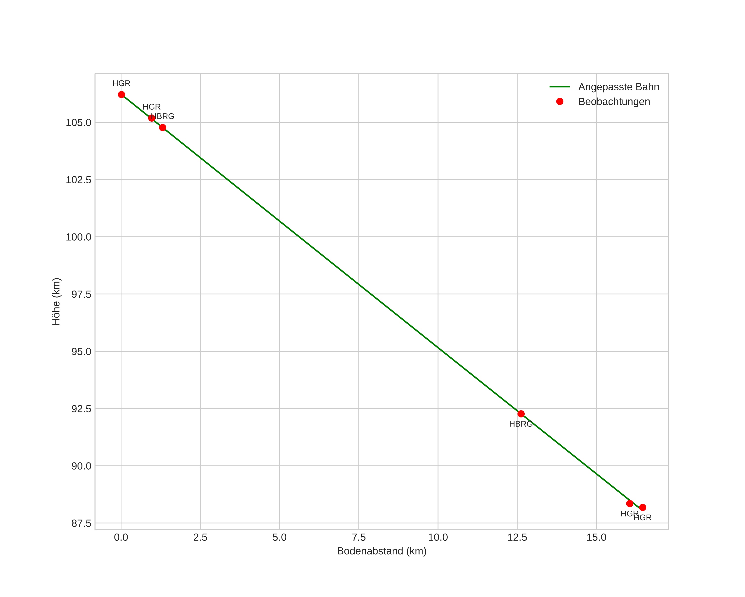
height profile
Atmosphärische Bahn des Meteors:
Anfangshöhe: 106,7 km
Endhöhe: 88,1 km
Startposition: 60,173N 14,409E
Endposition: 60,070N 14,188E
Richtung: 227,0°
Neigungswinkel: 47,9°
Eintrittsgeschwindigkeit: 62,4 km/s
Rektaszension des Radianten: 03:59 (60,0°)
Deklination des Radianten: 60,4°
Meteorstrom: Perseiden
Bahnelemente des Meteoroiden:
Periheldistanz: 0,935 AU
Exzentrizität: 1,166
Inklination: 113,2°
Länge des aufsteigenden Knotens: 145,9°
Argument des Perihels: 149,1°
Mittlere Anomalie: 1,5°
Epoche: 2025 AUG 18 23:00:27
orbit plot

Nicht-interaktives Diagramm | Interaktives Diagramm

position vs time
speed and acceleration

Hagar (HGR) cam3


gnomonic
Videos
• Gnomonisch
• Gnomonisch mit Koordinaten
• Original
• Original mit Koordinaten
Bilder
• Gnomonisch
• Gnomonisch mit Koordinaten
• Original
• Original mit Koordinaten
Textdateien
• Erkennung
• Beobachtung
• Koordinaten
• Protokoll
Helligkeit

Hagar (HGR) cam4


gnomonic
Videos
• Gnomonisch
• Gnomonisch mit Koordinaten
• Original
• Original mit Koordinaten
Bilder
• Gnomonisch
• Gnomonisch mit Koordinaten
• Original
• Original mit Koordinaten
Textdateien
• Erkennung
• Beobachtung
• Koordinaten
• Protokoll
Helligkeit