🇳🇴 🇬🇧 🇩🇪 🇨🇿 🇫🇮

Meteor, poloha: Vansbro 2025-08-19 21:27:49 UTC

Soubor KML  |  Interaktivní mapa

Mapa zobrazuje dráhy meteoru. Světlejší čáry ukazují směry od pozorovacích stanic při objevení se meteoru a tmavší čáry, kde byl naposledy viděn. Modrá šipka značí viditelnou dráhu meteoru.

static map
height profile
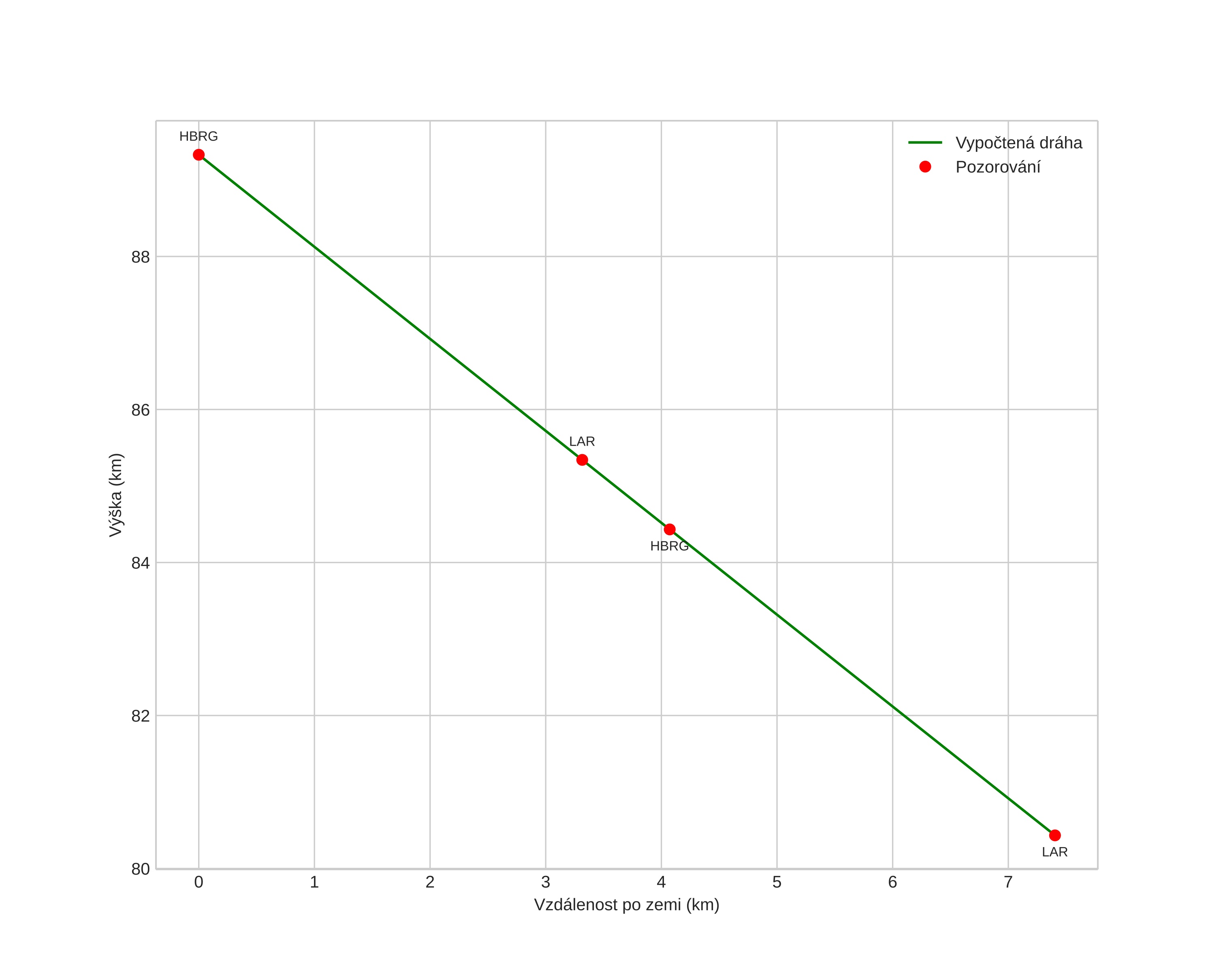
Atmosférická dráha meteoru:
Počáteční výška: 89,7 km
Konečná výška: 80,0 km
Počáteční poloha: 60,317N 14,327E
Konečná poloha: 60,255N 14,252E
Směr: 210,6°
Sklon: 50,3°
Vstupní rychlost: 54,6 km/s
Rektascenze radiantu: 03:25 (51,4°)
Deklinace radiantu: 70,0°
Meteorický roj: sporadický
Elementy dráhy meteoroidu:
Vzdálenost v periheliu: 0,971 AU
Excentricita: 0,961
Sklon dráhy: 96,3°
Délka vzestupného uzlu: 146,8°
Argument perihelia: 156,6°
Střední anomálie: 0,1°
Epocha: 2025 AUG 19 21:27:49
orbit plot

Neinteraktivní graf | Interaktivní graf

position vs time
speed and acceleration