🇳🇴 🇬🇧 🇩🇪 🇨🇿 🇫🇮

Meteor Skjærhaldenin yllä 2025-08-19 22:18:32 UTC

KML-tiedosto  |  Interaktiivinen kartta

Kartta näyttää meteorin suuntahavainnot. Vaaleammat viivat näyttävät suunnat havaintoasemilta meteorin ilmestyessä, ja tummemmat viivat näyttävät, missä se viimeksi nähtiin. Sininen nuoli näyttää meteorin näkyvän lennon.

static map
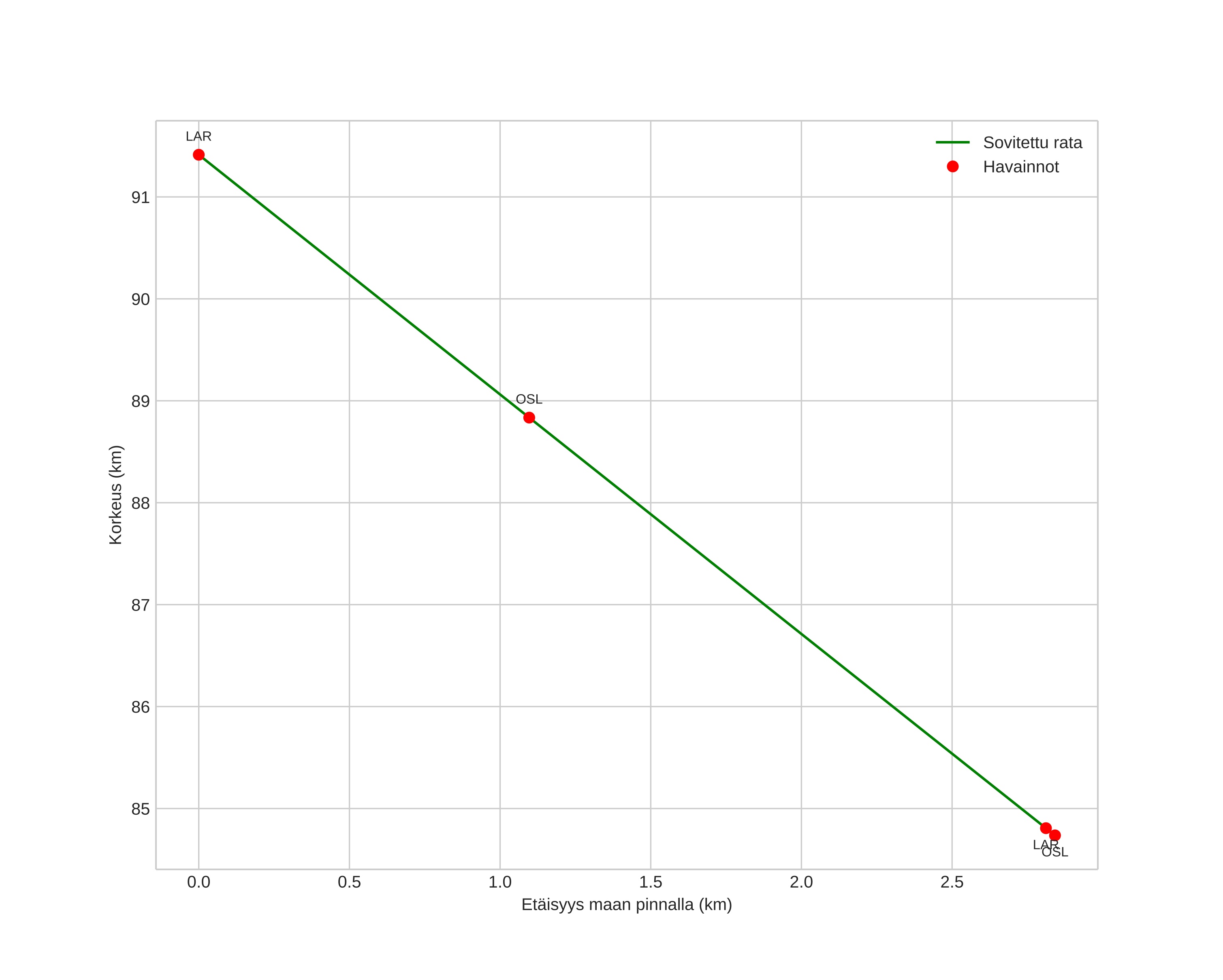
height profile
Meteorin ilmakehärata:
Alkukorkeus: 91,4 km
Loppukorkeus: 83,4 km
Alkupiste: 59,135N 10,942E
Loppupiste: 59,122N 10,990E
Suunta: 118,4°
Kallistuskulma: 68,8°
Tulonopeus: 26,0 km/s
Radiantin R,A,: 17:48 (267,2°)
Radiantin Dekl,: 62,0°
Meteoriparvi: Kappa-sygnidit
Meteoroidin rataelementit:
Perihelietäisyys: 1,011 AU
Eksentrisyys: 0,750
Inklinaatio: 36,9°
Nousevan solmun pituus: 146,8°
Perihelin argumentti: 183,0°
Keskianomalia: 359,7°
Epookki: 2025 AUG 19 22:18:32
orbit plot

Ei-interaktiivinen kuvaaja | Interaktiivinen kuvaaja

position vs time
speed and acceleration

Larvik (LAR) cam7


gnomonic
Videot:
• Gnomoninen
• Gnomoninen koordinaateilla
• Alkuperäinen
• Alkuperäinen koordinaateilla
Kuvat:
• Gnomoninen
• Gnomoninen koordinaateilla
• Alkuperäinen
• Alkuperäinen koordinaateilla
Tekstitiedostot:
• Havaintoraportti
• Observaatio
• Koordinaatit
• Loki
Kirkkaus

Voksenlia (OSL) cam4


gnomonic
Videot:
• Gnomoninen
• Gnomoninen koordinaateilla
• Alkuperäinen
• Alkuperäinen koordinaateilla
Kuvat:
• Gnomoninen
• Gnomoninen koordinaateilla
• Alkuperäinen
• Alkuperäinen koordinaateilla
Tekstitiedostot:
• Havaintoraportti
• Observaatio
• Koordinaatit
• Loki
Kirkkaus