🇳🇴 🇬🇧 🇩🇪 🇨🇿 🇫🇮

Meteor Färgelandan yllä 2025-08-19 22:23:51 UTC

KML-tiedosto  |  Interaktiivinen kartta

Kartta näyttää meteorin suuntahavainnot. Vaaleammat viivat näyttävät suunnat havaintoasemilta meteorin ilmestyessä, ja tummemmat viivat näyttävät, missä se viimeksi nähtiin. Sininen nuoli näyttää meteorin näkyvän lennon.

static map
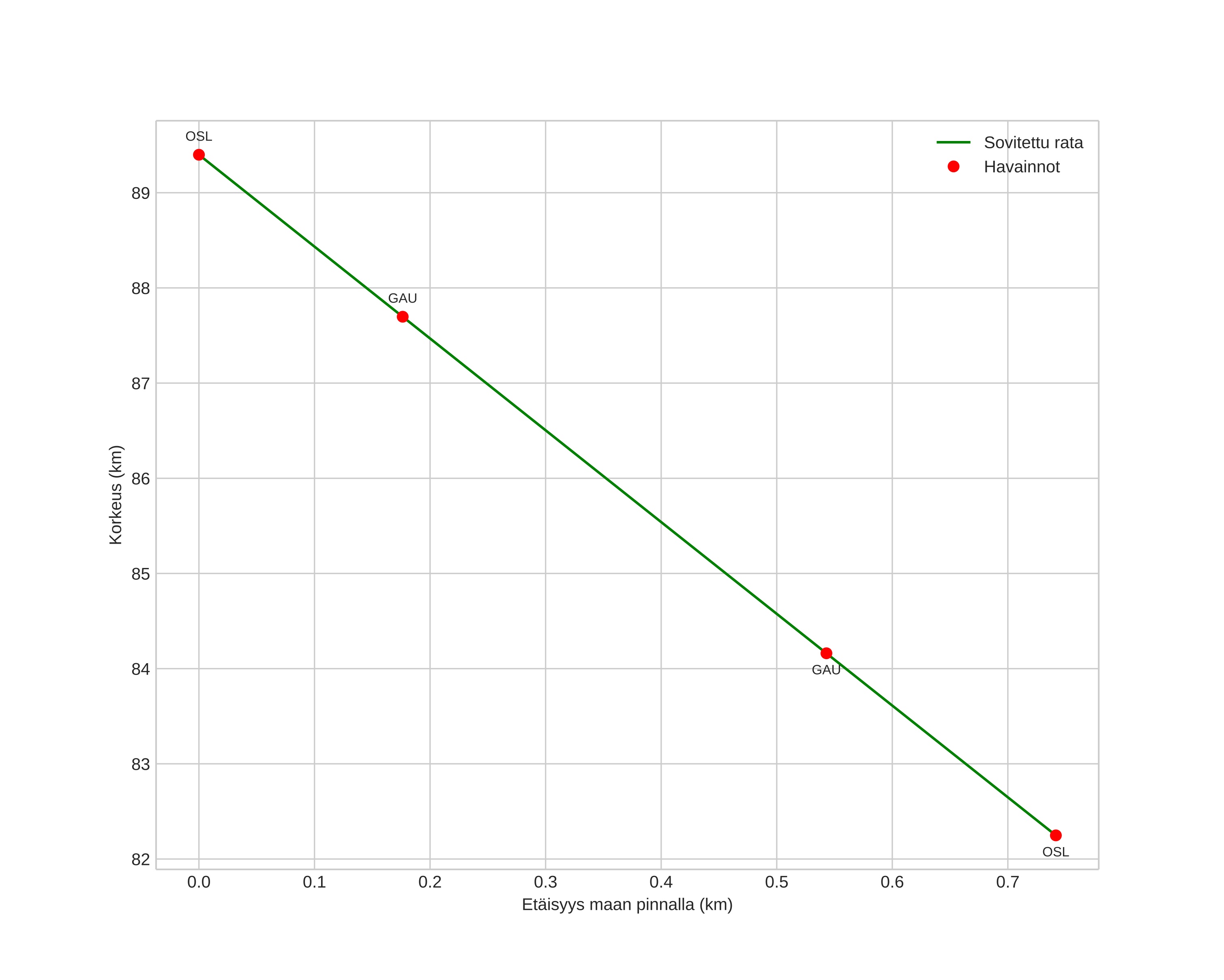
height profile
Meteorin ilmakehärata:
Alkukorkeus: 84,5 km
Loppukorkeus: 78,5 km
Alkupiste: 58,565N 12,009E
Loppupiste: 58,562N 12,027E
Suunta: 108,1°
Kallistuskulma: 79,6°
Tulonopeus: 25,4 km/s
Radiantin R,A,: 19:36 (294,0°)
Radiantin Dekl,: 59,9°
Meteoriparvi: Kappa-sygnidit
Meteoroidin rataelementit:
Perihelietäisyys: 0,982 AU
Eksentrisyys: 0,532
Inklinaatio: 38,3°
Nousevan solmun pituus: 146,8°
Perihelin argumentti: 203,8°
Keskianomalia: 353,7°
Epookki: 2025 AUG 19 22:23:51
orbit plot

Ei-interaktiivinen kuvaaja | Interaktiivinen kuvaaja

position vs time
speed and acceleration

Gaustatoppen (GAU) cam3


gnomonic
Videot:
• Gnomoninen
• Gnomoninen koordinaateilla
• Alkuperäinen
• Alkuperäinen koordinaateilla
Kuvat:
• Gnomoninen
• Gnomoninen koordinaateilla
• Alkuperäinen
• Alkuperäinen koordinaateilla
Tekstitiedostot:
• Havaintoraportti
• Observaatio
• Koordinaatit
• Loki
Kirkkaus

Voksenlia (OSL) cam4


gnomonic
Videot:
• Gnomoninen
• Gnomoninen koordinaateilla
• Alkuperäinen
• Alkuperäinen koordinaateilla
Kuvat:
• Gnomoninen
• Gnomoninen koordinaateilla
• Alkuperäinen
• Alkuperäinen koordinaateilla
Tekstitiedostot:
• Havaintoraportti
• Observaatio
• Koordinaatit
• Loki
Kirkkaus