🇳🇴 🇬🇧 🇩🇪 🇨🇿 🇫🇮

Meteor nad Trondheimem 2025-08-20 01:06:09 UTC

Soubor KML  |  InteraktivnĂ­ mapa

Mapa zobrazuje dráhy meteoru. Světlejší čáry ukazují směry od pozorovacích stanic při objevení se meteoru a tmavší čáry, kde byl naposledy viděn. Modrá šipka značí viditelnou dráhu meteoru.

static map
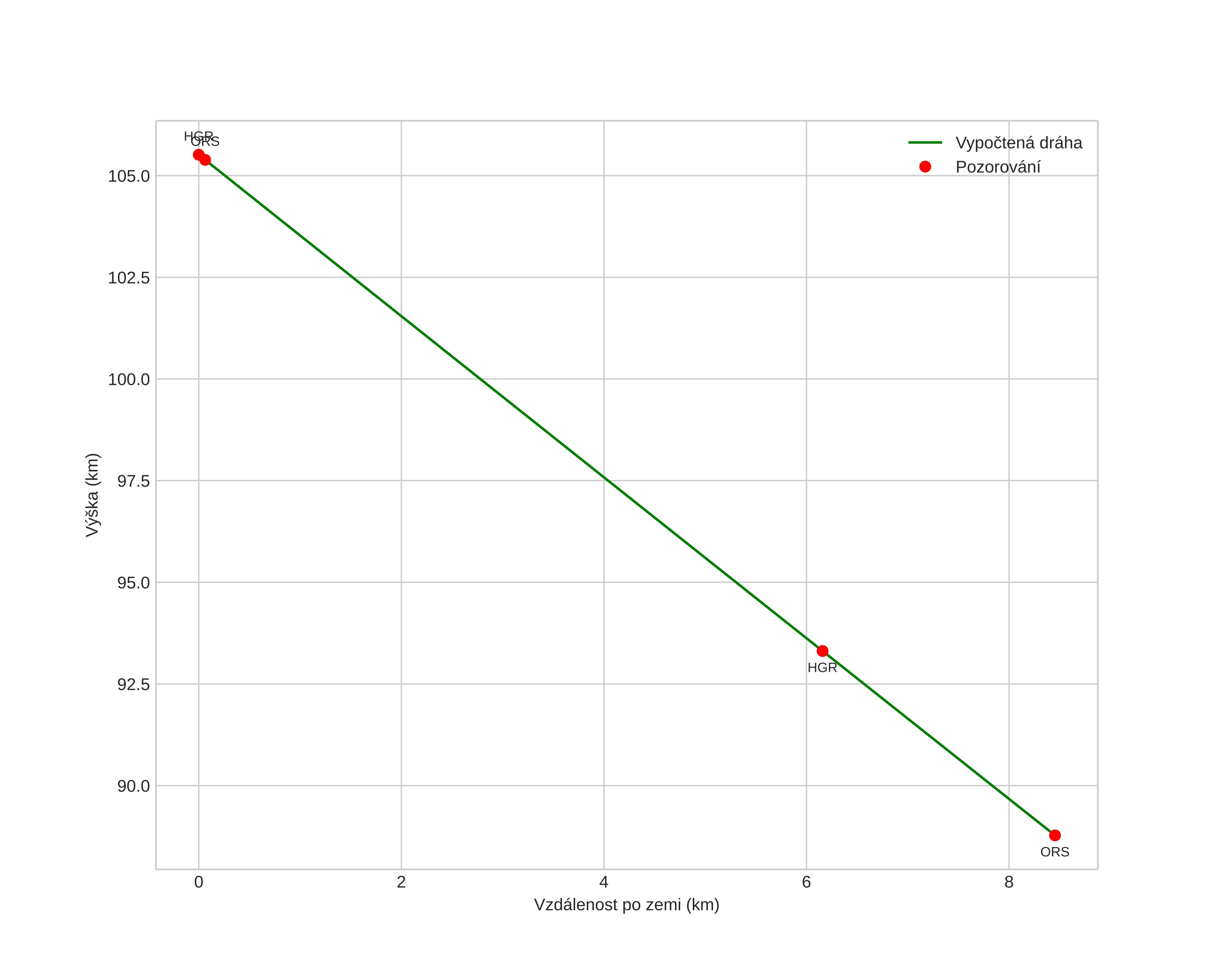
height profile
Atmosférická dráha meteoru:
Počáteční výška: 105,4 km
Konečná výška: 89,4 km
Počáteční poloha: 63,480N 10,405E
Konečná poloha: 63,452N 10,245E
Směr: 248,4°
Sklon: 61,8°
VstupnĂ­ rychlost: 69,5 km/s
Rektascenze radiantu: 03:45 (56,4°)
Deklinace radiantu: 59,9°
MeteorickĂ˝ roj: Perseidy
Elementy dráhy meteoroidu:
Vzdálenost v periheliu: 0,974 AU
Excentricita: 1,804
Sklon dráhy: 117,8°
Délka vzestupného uzlu: 146,9°
Argument perihelia: 160,4°
Střední anomálie: 8,7°
Epocha: 2025 AUG 20 01:06:09
orbit plot

NeinteraktivnĂ­ graf | InteraktivnĂ­ graf

position vs time
speed and acceleration

Hagar (HGR) cam2


gnomonic
Videa
• Gnomonická
• Gnomonická se souřadnicemi
• Původní
• Původní se souřadnicemi
Obrázky
• Gnomonická
• Gnomonická se souřadnicemi
• Původní
• Původní se souřadnicemi
Textové soubory
• Detekce
• Pozorování
• Souřadnice
• Protokol
Jasnost

Orsta (ORS) cam1


gnomonic
Videa
• Gnomonická
• Gnomonická se souřadnicemi
• Původní
• Původní se souřadnicemi
Obrázky
• Gnomonická
• Gnomonická se souřadnicemi
• Původní
• Původní se souřadnicemi
Textové soubory
• Detekce
• Pozorování
• Souřadnice
• Protokol
Jasnost