🇳🇴 🇬🇧 🇩🇪 🇨🇿 🇫🇮

Meteor Kviteseidin yllä 2025-08-22 20:55:57 UTC

KML-tiedosto  |  Interaktiivinen kartta

Kartta näyttää meteorin suuntahavainnot. Vaaleammat viivat näyttävät suunnat havaintoasemilta meteorin ilmestyessä, ja tummemmat viivat näyttävät, missä se viimeksi nähtiin. Sininen nuoli näyttää meteorin näkyvän lennon.

static map
height profile
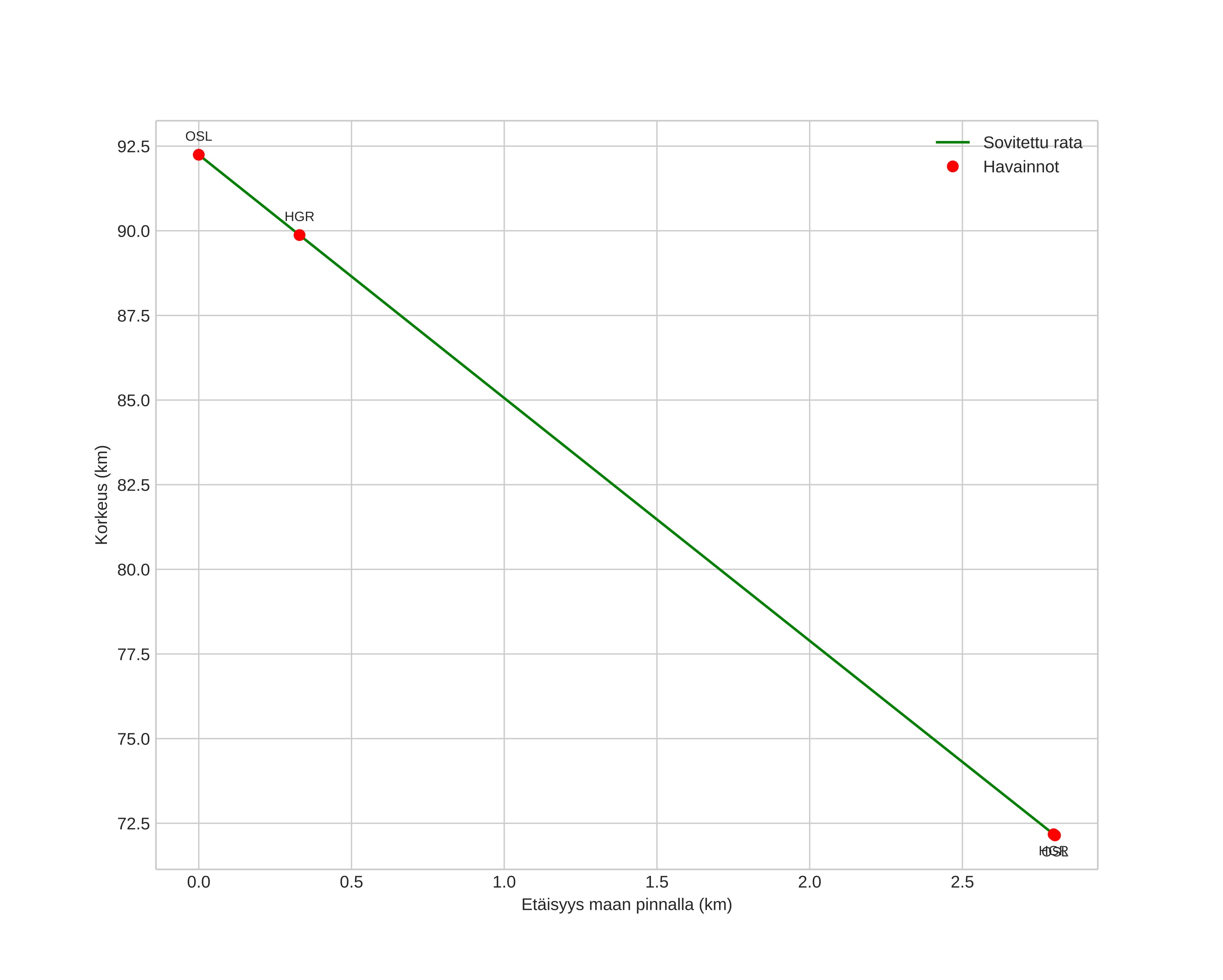
Meteorin ilmakehärata:
Alkukorkeus: 91,5 km
Loppukorkeus: 72,1 km
Alkupiste: 59,313N 8,408E
Loppupiste: 59,299N 8,447E
Suunta: 125,4°
Kallistuskulma: 82,1°
Tulonopeus: 24,5 km/s
Radiantin R,A,: 18:28 (277,2°)
Radiantin Dekl,: 63,0°
Meteoriparvi: Kappa-sygnidit
Meteoroidin rataelementit:
Perihelietäisyys: 1,007 AU
Eksentrisyys: 0,570
Inklinaatio: 36,1°
Nousevan solmun pituus: 149,7°
Perihelin argumentti: 188,8°
Keskianomalia: 358,0°
Epookki: 2025 AUG 22 20:55:57
orbit plot

Ei-interaktiivinen kuvaaja | Interaktiivinen kuvaaja

position vs time
speed and acceleration

Hagar (HGR) cam5


gnomonic
Videot:
• Gnomoninen
• Gnomoninen koordinaateilla
• Alkuperäinen
• Alkuperäinen koordinaateilla
Kuvat:
• Gnomoninen
• Gnomoninen koordinaateilla
• Alkuperäinen
• Alkuperäinen koordinaateilla
Tekstitiedostot:
• Havaintoraportti
• Observaatio
• Koordinaatit
• Loki
Kirkkaus

Voksenlia (OSL) cam3


gnomonic
Videot:
• Gnomoninen
• Gnomoninen koordinaateilla
• Alkuperäinen
• Alkuperäinen koordinaateilla
Kuvat:
• Gnomoninen
• Gnomoninen koordinaateilla
• Alkuperäinen
• Alkuperäinen koordinaateilla
Tekstitiedostot:
• Havaintoraportti
• Observaatio
• Koordinaatit
• Loki
Kirkkaus