🇳🇴 🇬🇧 🇩🇪 🇨🇿 🇫🇮

Meteor over Kirkenær 2025-08-22 22:42:32 UTC

KML file  |  Interactive map

The map shows the bearings for the meteor. The lighter lines show the directions from the observation sites at the meteor's appearance, and the darker lines show where it was last seen. The blue arrow indicates the visible path of the meteor.

static map
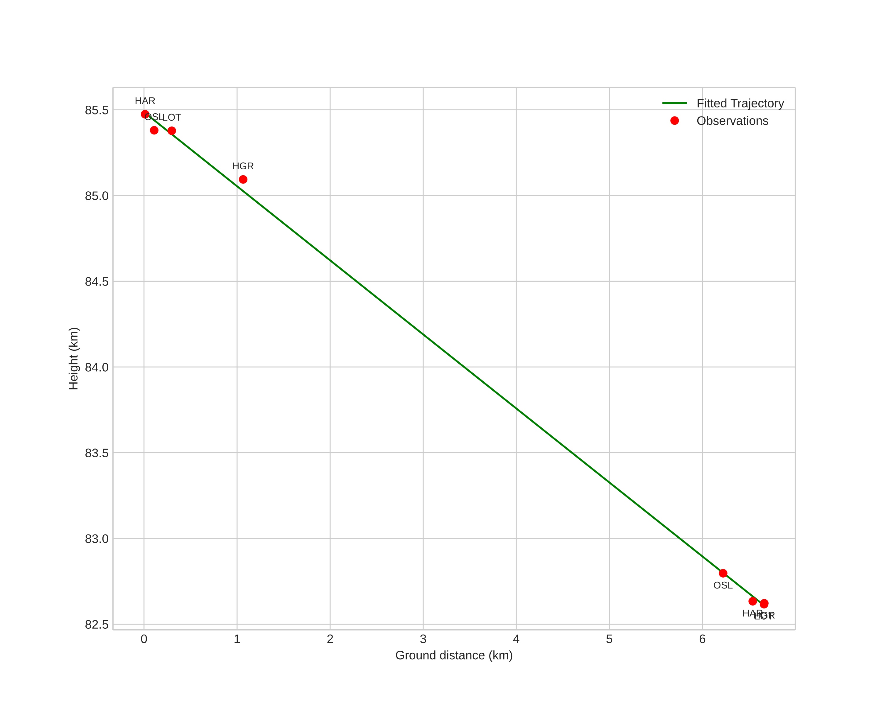
height profile
Meteor's Atmospheric Trajectory:
Start height: 85.5 km
End height: 82.6 km
Start position: 60.502N 12.530E
End position: 60.563N 12.507E
Direction: 349.2°
Inclination angle: 22.9°
Entry speed: 25.4 km/s
Radiant R.A.: 22:16 (334.0°)
Radiant Dec.: -10.3°
Meteor Shower: sporadic
Meteoroid's Orbital Elements:
Perihelion distance: 0.533 AU
Eccentricity: 0.757
Inclination: 0.3°
Long. of Asc. Node: 150.0°
Argument of Perihelion: 275.4°
Mean Anomaly: 345.8°
Epoch: 2025 AUG 22 22:42:32
orbit plot

Non-interactive plot | Interactive plot

position vs time
speed and acceleration

Hagar (HGR) cam3


gnomonic
Videos
• Gnomonic
• Gnomonic with coordinates
• Original
• Original with coordinates
Images
• Gnomonic
• Gnomonic with coordinates
• Original
• Original with coordinates
Text Files
• Detection
• Observation
• Coordinates
• Log
Brightness

Harestua (HAR) cam2


gnomonic
Videos
• Gnomonic
• Gnomonic with coordinates
• Original
• Original with coordinates
Images
• Gnomonic
• Gnomonic with coordinates
• Original
• Original with coordinates
Text Files
• Detection
• Observation
• Coordinates
• Log
Brightness

Loten (LOT) cam7


gnomonic
Videos
• Gnomonic
• Gnomonic with coordinates
• Original
• Original with coordinates
Images
• Gnomonic
• Gnomonic with coordinates
• Original
• Original with coordinates
Text Files
• Detection
• Observation
• Coordinates
• Log
Brightness

Voksenlia (OSL) cam5


gnomonic
Videos
• Gnomonic
• Gnomonic with coordinates
• Original
• Original with coordinates
Images
• Gnomonic
• Gnomonic with coordinates
• Original
• Original with coordinates
Text Files
• Detection
• Observation
• Coordinates
• Log
Brightness