🇳🇴 🇬🇧 🇩🇪 🇨🇿 🇫🇮

Meteor Kongsvingerin yllä 2025-08-23 02:28:21 UTC

KML-tiedosto  |  Interaktiivinen kartta

Kartta näyttää meteorin suuntahavainnot. Vaaleammat viivat näyttävät suunnat havaintoasemilta meteorin ilmestyessä, ja tummemmat viivat näyttävät, missä se viimeksi nähtiin. Sininen nuoli näyttää meteorin näkyvän lennon.

static map
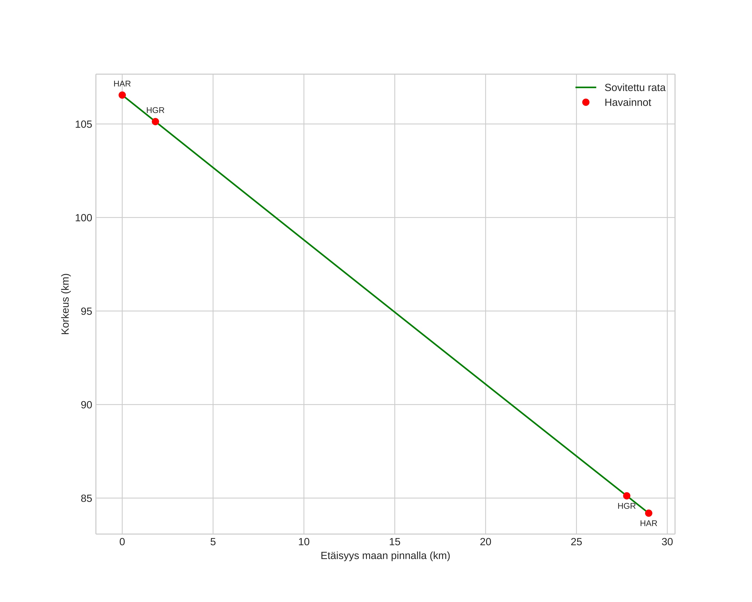
height profile
Meteorin ilmakehärata:
Alkukorkeus: 106,5 km
Loppukorkeus: 84,2 km
Alkupiste: 60,315N 12,745E
Loppupiste: 60,235N 12,246E
Suunta: 252,3°
Kallistuskulma: 37,6°
Tulonopeus: 58,6 km/s
Radiantin R,A,: 06:56 (104,2°)
Radiantin Dekl,: 40,3°
Meteoriparvi: Sporadinen
Meteoroidin rataelementit:
Perihelietäisyys: 0,248 AU
Eksentrisyys: 0,988
Inklinaatio: 124,0°
Nousevan solmun pituus: 149,9°
Perihelin argumentti: 58,7°
Keskianomalia: 0,4°
Epookki: 2025 AUG 23 02:28:21
orbit plot

Ei-interaktiivinen kuvaaja | Interaktiivinen kuvaaja

position vs time
speed and acceleration

Hagar (HGR) cam3


gnomonic
Videot:
• Gnomoninen
• Gnomoninen koordinaateilla
• Alkuperäinen
• Alkuperäinen koordinaateilla
Kuvat:
• Gnomoninen
• Gnomoninen koordinaateilla
• Alkuperäinen
• Alkuperäinen koordinaateilla
Tekstitiedostot:
• Havaintoraportti
• Observaatio
• Koordinaatit
• Loki
Kirkkaus

Harestua (HAR) cam2


gnomonic
Videot:
• Gnomoninen
• Gnomoninen koordinaateilla
• Alkuperäinen
• Alkuperäinen koordinaateilla
Kuvat:
• Gnomoninen
• Gnomoninen koordinaateilla
• Alkuperäinen
• Alkuperäinen koordinaateilla
Tekstitiedostot:
• Havaintoraportti
• Observaatio
• Koordinaatit
• Loki
Kirkkaus