🇳🇴 🇬🇧 🇩🇪 🇨🇿 🇫🇮

Meteor über Sindal 2025-08-23 21:42:12 UTC

KML-Datei  |  Interaktive Karte

Die Karte zeigt die Peilungen für den Meteor. Die helleren Linien zeigen die Richtungen von den Beobachtungsorten beim Erscheinen des Meteors, und die dunkleren Linien, wo er zuletzt gesehen wurde. Der blaue Pfeil zeigt die sichtbare Bahn des Meteors.

static map
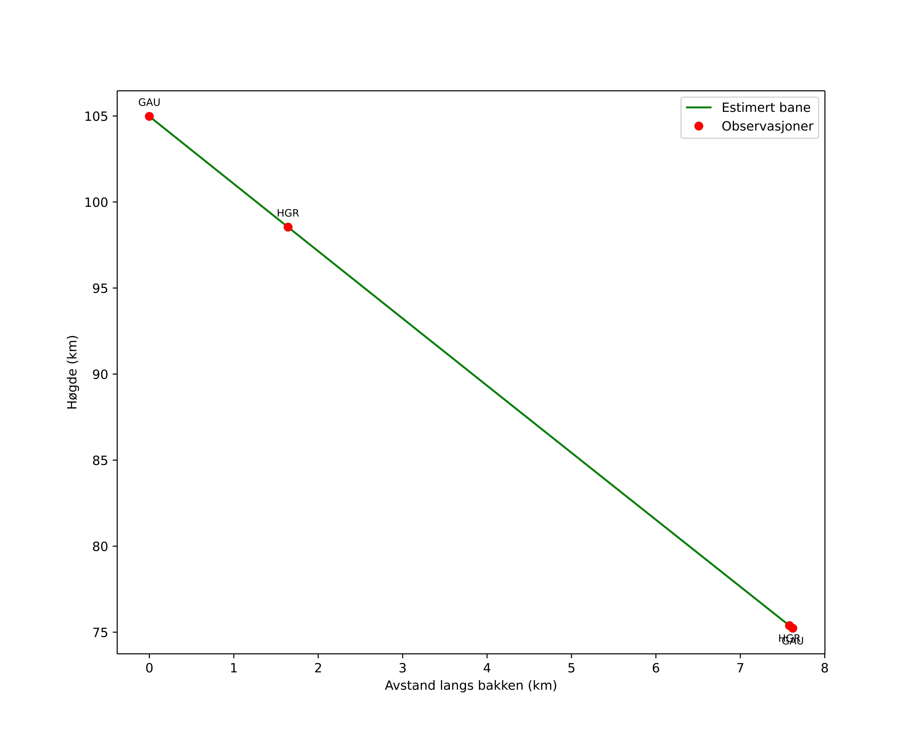
height profile
Atmosphärische Bahn des Meteors:
Anfangshöhe: 102,3 km
Endhöhe: 74,9 km
Startposition: 57,393N 10,336E
Endposition: 57,355N 10,258E
Richtung: 228,2°
Neigungswinkel: 77,0°
Eintrittsgeschwindigkeit: 43,4 km/s
Rektaszension des Radianten: 22:01 (330,4°)
Deklination des Radianten: 64,3°
Meteorstrom: sporadisch
Bahnelemente des Meteoroiden:
Periheldistanz: 0,949 AU
Exzentrizität: 1,076
Inklination: 67,5°
Länge des aufsteigenden Knotens: 150,7°
Argument des Perihels: 208,3°
Mittlere Anomalie: -0,4°
Epoche: 2025 AUG 23 21:42:12
orbit plot

Nicht-interaktives Diagramm | Interaktives Diagramm

position vs time
speed and acceleration

Gaustatoppen (GAU) cam3


gnomonic
Videos
• Gnomonisch
• Gnomonisch mit Koordinaten
• Original
• Original mit Koordinaten
Bilder
• Gnomonisch
• Gnomonisch mit Koordinaten
• Original
• Original mit Koordinaten
Textdateien
• Erkennung
• Beobachtung
• Koordinaten
• Protokoll
Helligkeit

Hagar (HGR) cam4


gnomonic
Videos
• Gnomonisch
• Gnomonisch mit Koordinaten
• Original
• Original mit Koordinaten
Bilder
• Gnomonisch
• Gnomonisch mit Koordinaten
• Original
• Original mit Koordinaten
Textdateien
• Erkennung
• Beobachtung
• Koordinaten
• Protokoll
Helligkeit