🇳🇴 🇬🇧 🇩🇪 🇨🇿 🇫🇮

Meteor Sindalin yllä 2025-08-23 21:42:12 UTC

KML-tiedosto  |  Interaktiivinen kartta

Kartta näyttää meteorin suuntahavainnot. Vaaleammat viivat näyttävät suunnat havaintoasemilta meteorin ilmestyessä, ja tummemmat viivat näyttävät, missä se viimeksi nähtiin. Sininen nuoli näyttää meteorin näkyvän lennon.

static map
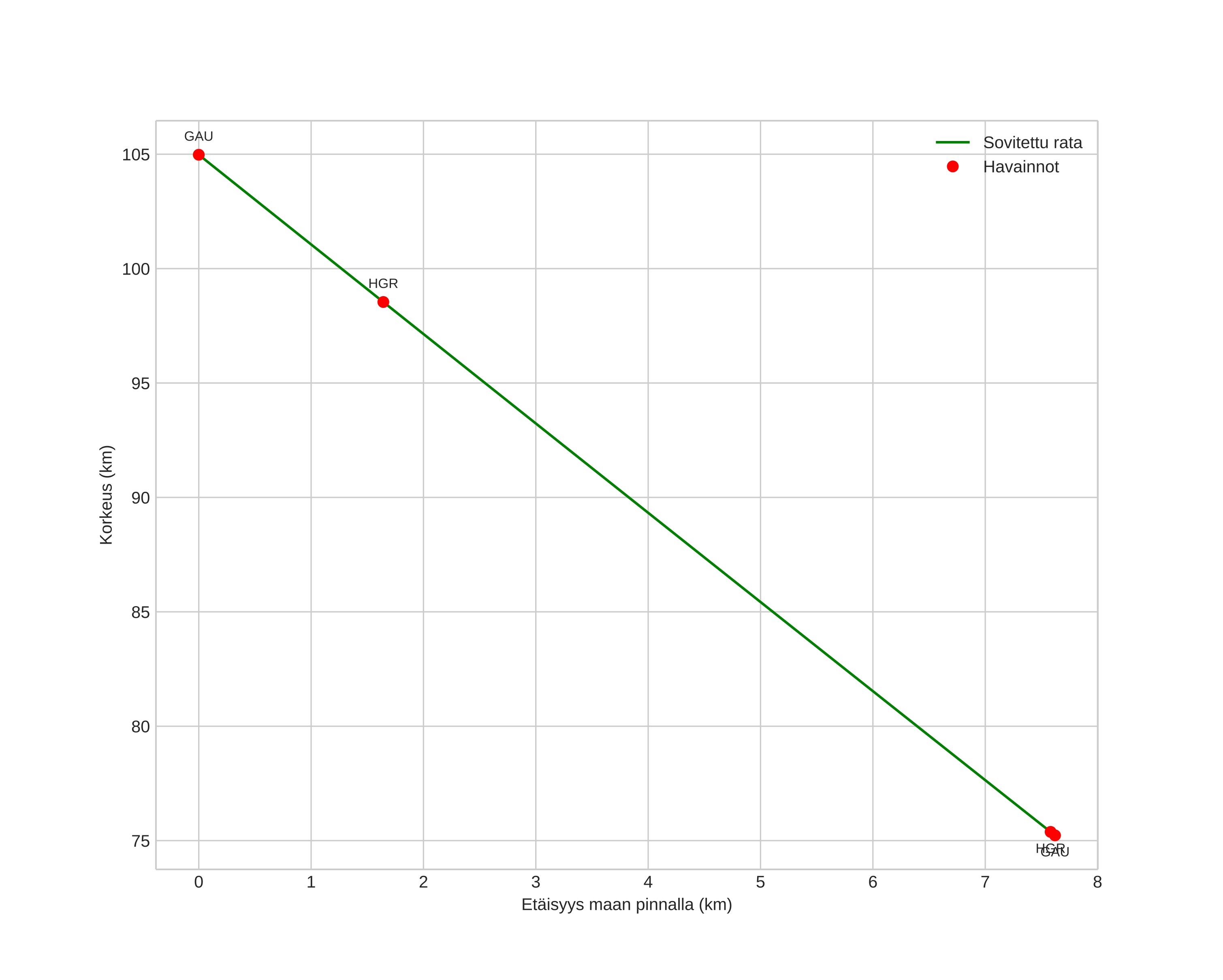
height profile
Meteorin ilmakehärata:
Alkukorkeus: 102,3 km
Loppukorkeus: 74,9 km
Alkupiste: 57,393N 10,336E
Loppupiste: 57,355N 10,258E
Suunta: 228,2°
Kallistuskulma: 77,0°
Tulonopeus: 43,4 km/s
Radiantin R,A,: 22:01 (330,4°)
Radiantin Dekl,: 64,3°
Meteoriparvi: Sporadinen
Meteoroidin rataelementit:
Perihelietäisyys: 0,949 AU
Eksentrisyys: 1,076
Inklinaatio: 67,5°
Nousevan solmun pituus: 150,7°
Perihelin argumentti: 208,3°
Keskianomalia: -0,4°
Epookki: 2025 AUG 23 21:42:12
orbit plot

Ei-interaktiivinen kuvaaja | Interaktiivinen kuvaaja

position vs time
speed and acceleration

Gaustatoppen (GAU) cam3


gnomonic
Videot:
• Gnomoninen
• Gnomoninen koordinaateilla
• Alkuperäinen
• Alkuperäinen koordinaateilla
Kuvat:
• Gnomoninen
• Gnomoninen koordinaateilla
• Alkuperäinen
• Alkuperäinen koordinaateilla
Tekstitiedostot:
• Havaintoraportti
• Observaatio
• Koordinaatit
• Loki
Kirkkaus

Hagar (HGR) cam4


gnomonic
Videot:
• Gnomoninen
• Gnomoninen koordinaateilla
• Alkuperäinen
• Alkuperäinen koordinaateilla
Kuvat:
• Gnomoninen
• Gnomoninen koordinaateilla
• Alkuperäinen
• Alkuperäinen koordinaateilla
Tekstitiedostot:
• Havaintoraportti
• Observaatio
• Koordinaatit
• Loki
Kirkkaus