🇳🇴 🇬🇧 🇩🇪 🇨🇿 🇫🇮

Meteor, poloha: Sauda 2025-08-25 22:50:51 UTC

Soubor KML  |  Interaktivní mapa

Mapa zobrazuje dráhy meteoru. Světlejší čáry ukazují směry od pozorovacích stanic při objevení se meteoru a tmavší čáry, kde byl naposledy viděn. Modrá šipka značí viditelnou dráhu meteoru.

static map
height profile
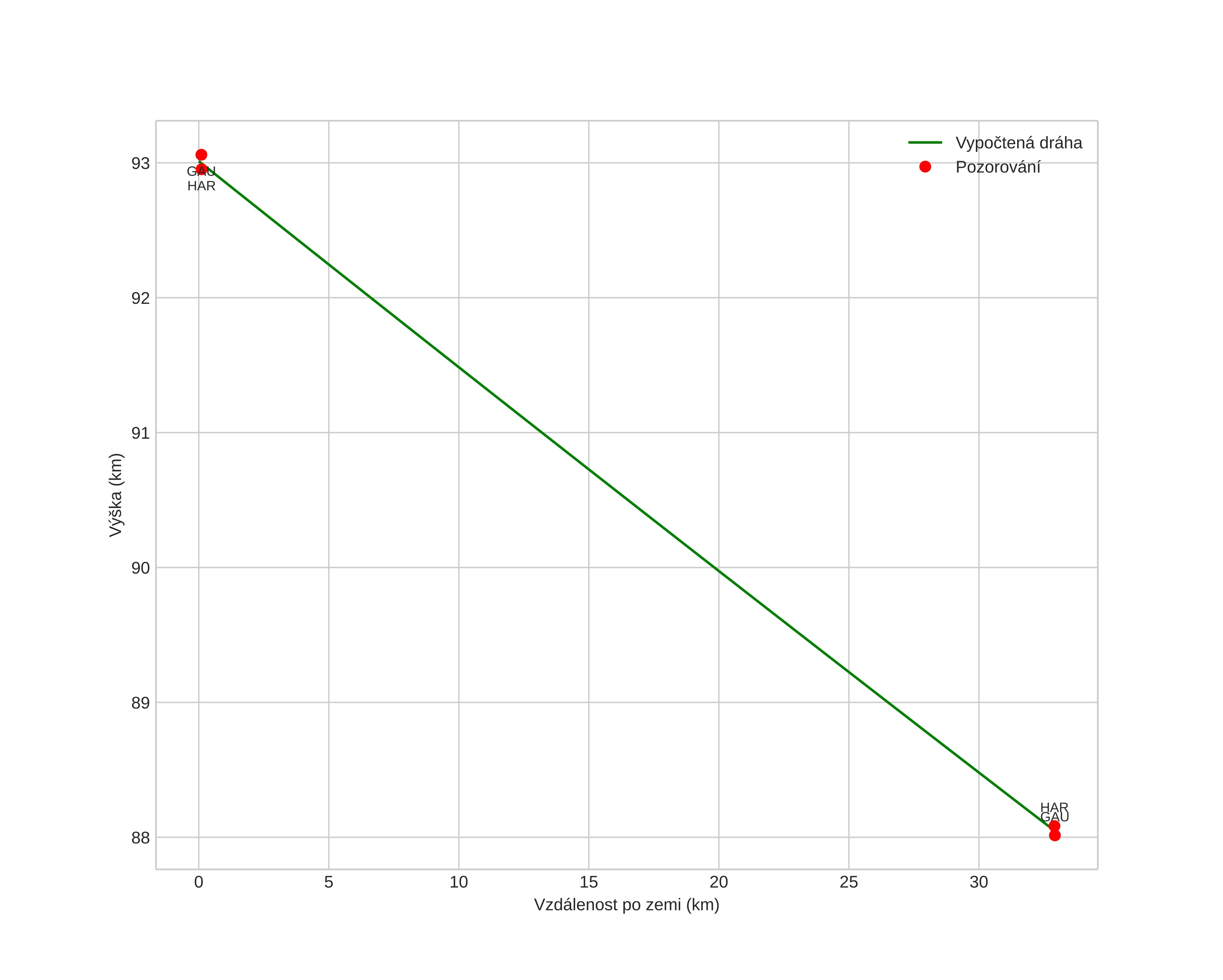
Atmosférická dráha meteoru:
Počáteční výška: 92,5 km
Konečná výška: 85,0 km
Počáteční poloha: 59,622N 5,663E
Konečná poloha: 59,747N 6,355E
Směr: 70,0°
Sklon: 10,3°
orbit plot

Neinteraktivní graf | Interaktivní graf

position vs time
speed and acceleration