🇳🇴 🇬🇧 🇩🇪 🇨🇿 🇫🇮

Meteor Skotterudin yllä 2025-08-26 01:08:00 UTC

KML-tiedosto  |  Interaktiivinen kartta

Kartta näyttää meteorin suuntahavainnot. Vaaleammat viivat näyttävät suunnat havaintoasemilta meteorin ilmestyessä, ja tummemmat viivat näyttävät, missä se viimeksi nähtiin. Sininen nuoli näyttää meteorin näkyvän lennon.

static map
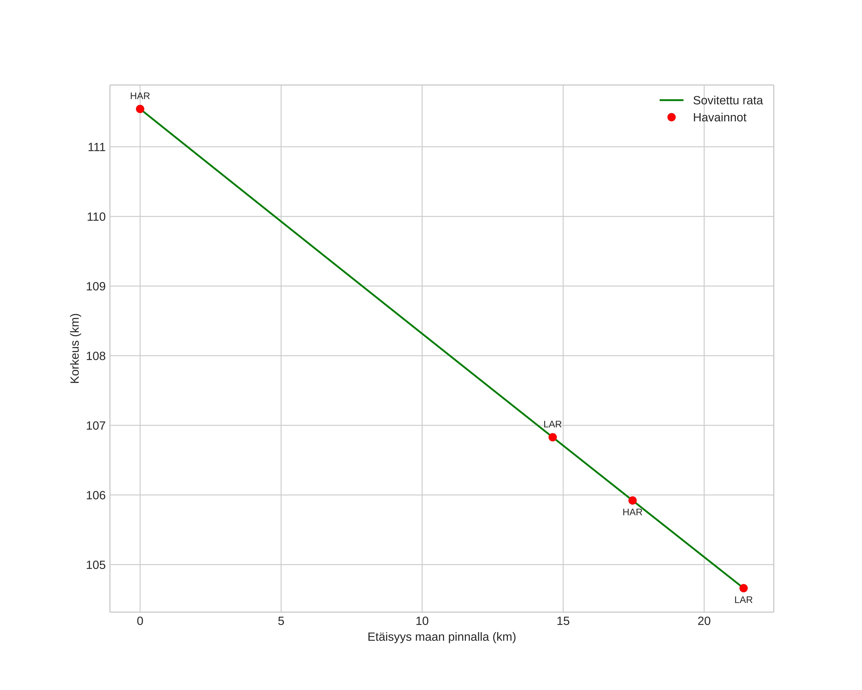
height profile
Meteorin ilmakehärata:
Alkukorkeus: 111,5 km
Loppukorkeus: 105,9 km
Alkupiste: 59,808N 12,421E
Loppupiste: 59,885N 12,150E
Suunta: 299,8°
Kallistuskulma: 17,8°
Tulonopeus: 68,1 km/s
Radiantin R,A,: 03:57 (59,4°)
Radiantin Dekl,: 0,9°
Meteoriparvi: Sporadinen
Meteoroidin rataelementit:
Perihelietäisyys: 0,985 AU
Eksentrisyys: 0,881
Inklinaatio: 146,8°
Nousevan solmun pituus: 332,7°
Perihelin argumentti: 19,0°
Keskianomalia: 359,4°
Epookki: 2025 AUG 26 01:08:00
orbit plot

Ei-interaktiivinen kuvaaja | Interaktiivinen kuvaaja

position vs time
speed and acceleration

Harestua (HAR) cam7


gnomonic
Videot:
• Gnomoninen
• Gnomoninen koordinaateilla
• Alkuperäinen
• Alkuperäinen koordinaateilla
Kuvat:
• Gnomoninen
• Gnomoninen koordinaateilla
• Alkuperäinen
• Alkuperäinen koordinaateilla
Tekstitiedostot:
• Havaintoraportti
• Observaatio
• Koordinaatit
• Loki
Kirkkaus

Larvik (LAR) cam2


gnomonic
Videot:
• Gnomoninen
• Gnomoninen koordinaateilla
• Alkuperäinen
• Alkuperäinen koordinaateilla
Kuvat:
• Gnomoninen
• Gnomoninen koordinaateilla
• Alkuperäinen
• Alkuperäinen koordinaateilla
Tekstitiedostot:
• Havaintoraportti
• Observaatio
• Koordinaatit
• Loki
Kirkkaus