🇳🇴 🇬🇧 🇩🇪 🇨🇿 🇫🇮

Meteor, poloha: Raufoss 2025-08-27 01:53:18 UTC

Soubor KML  |  Interaktivní mapa

Mapa zobrazuje dráhy meteoru. Světlejší čáry ukazují směry od pozorovacích stanic při objevení se meteoru a tmavší čáry, kde byl naposledy viděn. Modrá šipka značí viditelnou dráhu meteoru.

static map
height profile
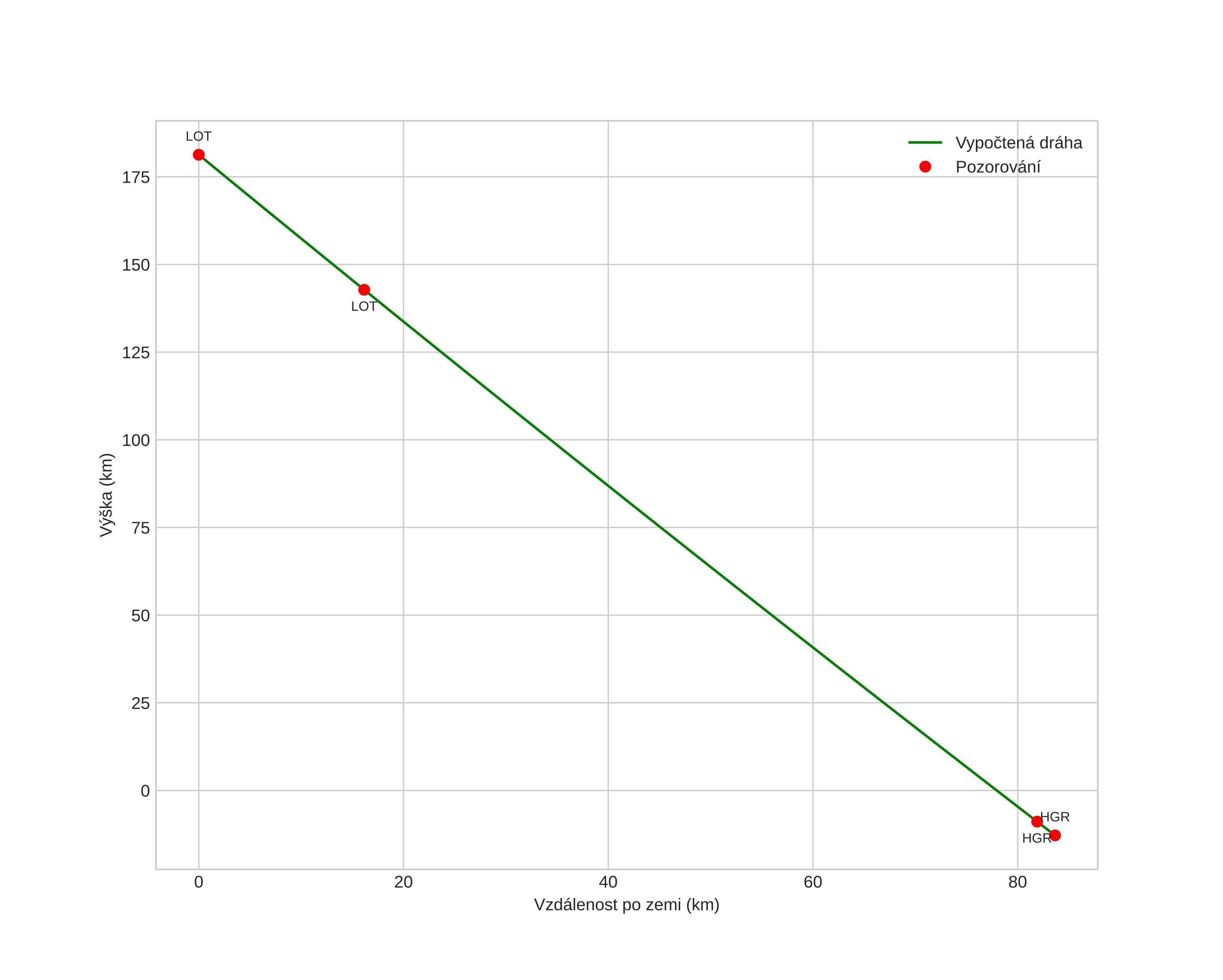
Atmosférická dráha meteoru:
Počáteční výška: 174,8 km
Konečná výška: -11,2 km
Počáteční poloha: 60,031N 11,070E
Konečná poloha: 60,693N 10,533E
Směr: 338,3°
Sklon: 66,9°
position vs time
speed and acceleration