🇳🇴 🇬🇧 🇩🇪 🇨🇿 🇫🇮

Meteor, poloha: Skreia 2025-09-08 21:12:22 UTC

Soubor KML  |  InteraktivnĂ­ mapa

Mapa zobrazuje dráhy meteoru. Světlejší čáry ukazují směry od pozorovacích stanic při objevení se meteoru a tmavší čáry, kde byl naposledy viděn. Modrá šipka značí viditelnou dráhu meteoru.

static map
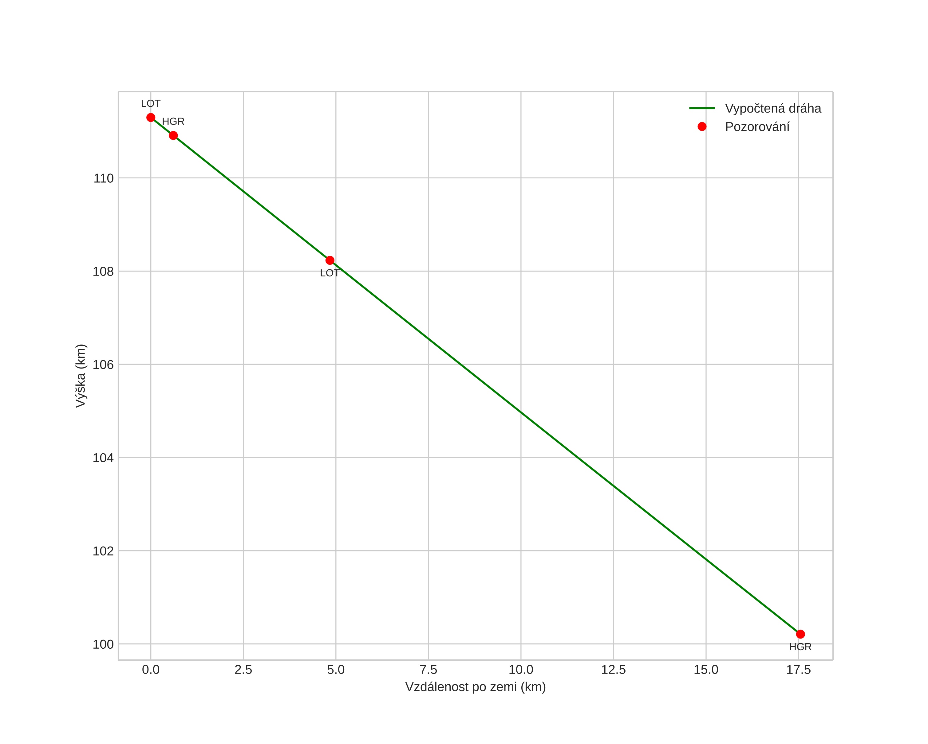
height profile
Atmosférická dráha meteoru:
Počáteční výška: 111,6 km
Konečná výška: 100,4 km
Počáteční poloha: 60,860N 11,084E
Konečná poloha: 60,729N 10,908E
Směr: 213,3°
Sklon: 32,7°
VstupnĂ­ rychlost: 65,6 km/s
Rektascenze radiantu: 05:37 (84,5°)
Deklinace radiantu: 54,2°
MeteorickĂ˝ roj: sporadickĂ˝
Elementy dráhy meteoroidu:
Vzdálenost v periheliu: 0,960 AU
Excentricita: 1,052
Sklon dráhy: 127,0°
Délka vzestupného uzlu: 166,1°
Argument perihelia: 155,4°
Střední anomálie: 0,2°
Epocha: 2025 SEP 08 21:12:22
orbit plot

NeinteraktivnĂ­ graf | InteraktivnĂ­ graf

position vs time
speed and acceleration

Hagar (HGR) cam7


gnomonic
Videa
• Gnomonická
• Gnomonická se souřadnicemi
• Původní
• Původní se souřadnicemi
Obrázky
• Gnomonická
• Gnomonická se souřadnicemi
• Původní
• Původní se souřadnicemi
Textové soubory
• Detekce
• Pozorování
• Souřadnice
• Protokol
Jasnost

Loten (LOT) cam6


gnomonic
Videa
• Gnomonická
• Gnomonická se souřadnicemi
• Původní
• Původní se souřadnicemi
Obrázky
• Gnomonická
• Gnomonická se souřadnicemi
• Původní
• Původní se souřadnicemi
Textové soubory
• Detekce
• Pozorování
• Souřadnice
• Protokol
Jasnost