🇳🇴 🇬🇧 🇩🇪 🇨🇿 🇫🇮

Meteor over Gvarv 2025-09-11 23:15:45 UTC

KML-fil  |  Interaktivt kart

Kartet viser peilingene for meteoren. De lysere linjene viser retningene fra observasjonsstedene for meteorens tilsynekomst, og de mørkere linjene viser hvor den sist kunne sees. Den blå pila viser meteorens synlige ferd.

static map
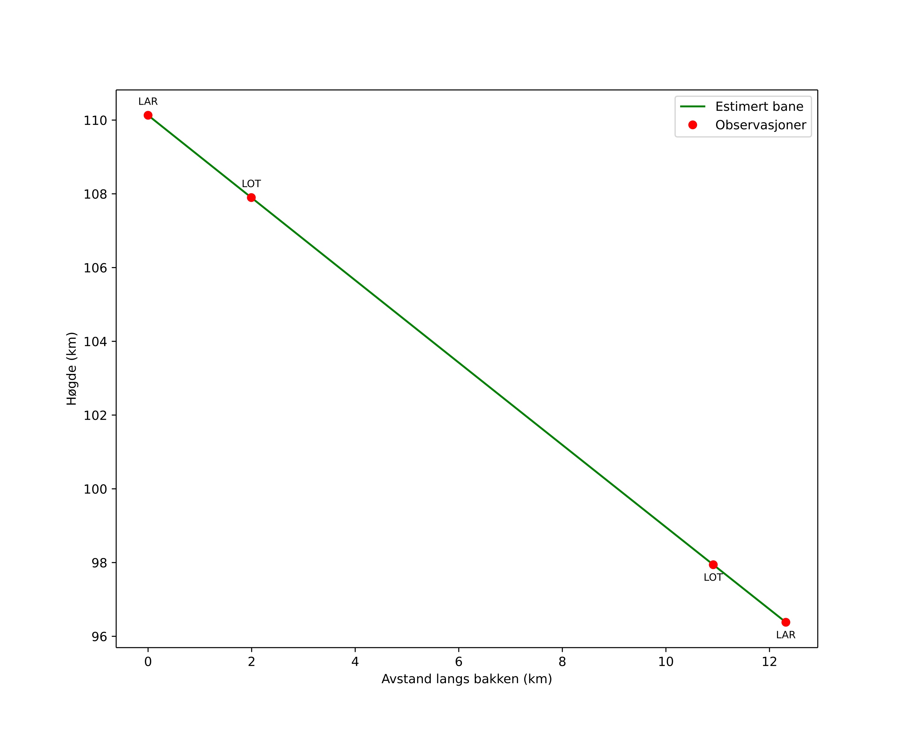
height profile
Meteorens atmosfæriske bane:
Starthøgde: 110,1 km
Slutthøgde: 96,4 km
Startposisjon: 59,381N 9,451E
Sluttposisjon: 59,382N 9,233E
Retning: 270,3°
Fallvinkel: 48,0°
Inngangshastighet: 71,8 km/s
Radiantens rektascensjon: 03:17 (49,4°)
Radiantens deklinasjon: 39,3°
Meteorsverm: september-epsilon-perseidene
Meteoroidens baneelement:
Perihelavstand: 0,771 AU
Eksentrisitet: 1,427
Inklinasjon: 142,5°
Knutelengde: 169,1°
Perihelargument: 233,0°
Midlere anomali: -11,4°
Epoke: 2025 SEP 11 23:15:45
orbit plot

Ikke-interaktivt plott | Interaktivt plott

position vs time
speed and acceleration

Larvik (LAR) cam6


gnomonic
Videoer
• Gnomonisk
• Gnomonisk med koordinater
• Original
• Original med koordinater
Bilder
• Gnomonisk
• Gnomonisk med koordinater
• Original
• Original med koordinater
Tekstfiler
• Deteksjon
• Observasjon
• Koordinater
• Logg
Lysstyrke

Loten (LOT) cam4


gnomonic
Videoer
• Gnomonisk
• Gnomonisk med koordinater
• Original
• Original med koordinater
Bilder
• Gnomonisk
• Gnomonisk med koordinater
• Original
• Original med koordinater
Tekstfiler
• Deteksjon
• Observasjon
• Koordinater
• Logg
Lysstyrke