🇳🇴 🇬🇧 🇩🇪 🇨🇿 🇫🇮

Meteor Gvarvin yllä 2025-09-11 23:15:45 UTC

KML-tiedosto  |  Interaktiivinen kartta

Kartta näyttää meteorin suuntahavainnot. Vaaleammat viivat näyttävät suunnat havaintoasemilta meteorin ilmestyessä, ja tummemmat viivat näyttävät, missä se viimeksi nähtiin. Sininen nuoli näyttää meteorin näkyvän lennon.

static map
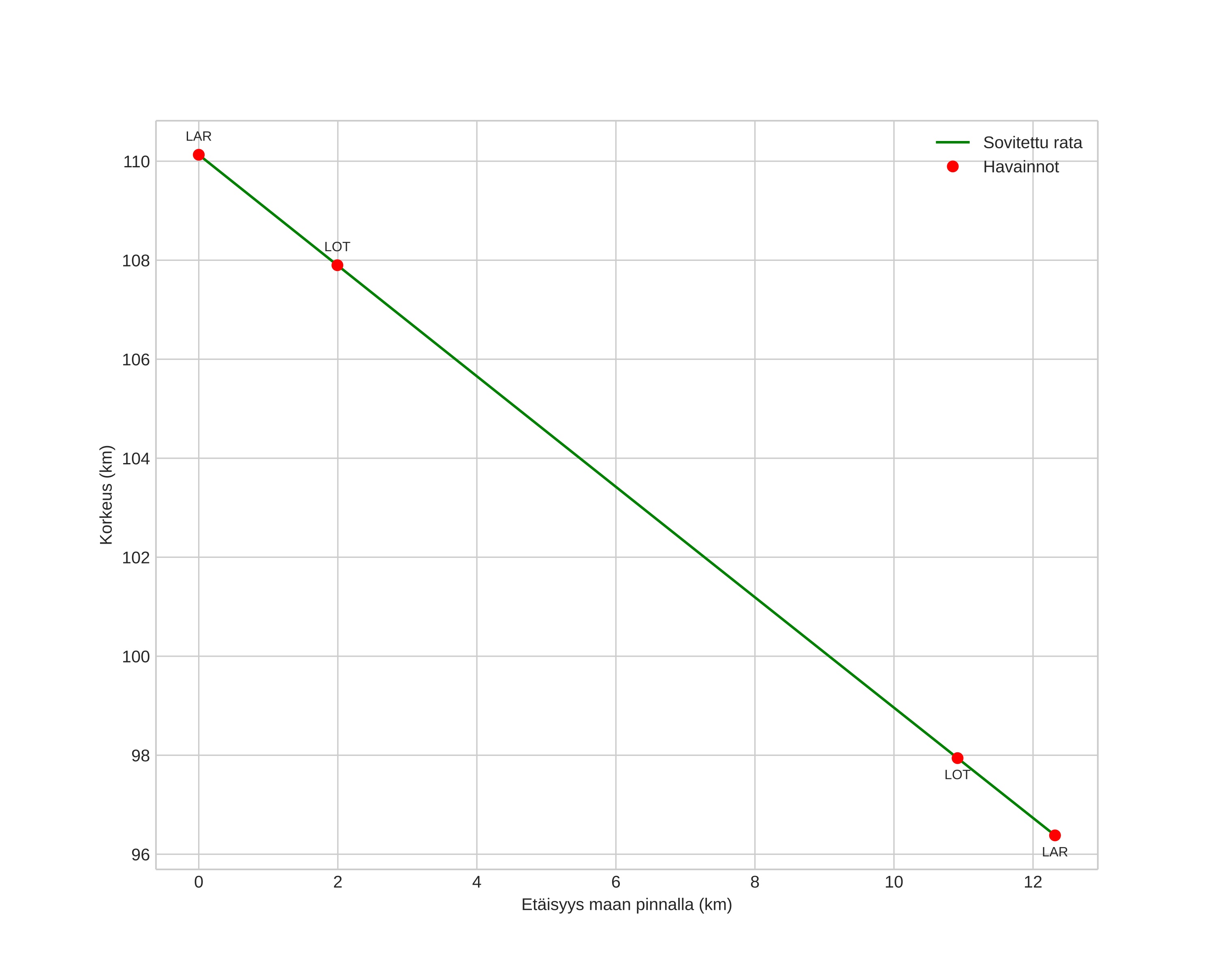
height profile
Meteorin ilmakehärata:
Alkukorkeus: 110,1 km
Loppukorkeus: 96,4 km
Alkupiste: 59,381N 9,451E
Loppupiste: 59,382N 9,233E
Suunta: 270,3°
Kallistuskulma: 48,0°
Tulonopeus: 71,8 km/s
Radiantin R,A,: 03:17 (49,4°)
Radiantin Dekl,: 39,3°
Meteoriparvi: september-epsilon-perseidene
Meteoroidin rataelementit:
Perihelietäisyys: 0,771 AU
Eksentrisyys: 1,427
Inklinaatio: 142,5°
Nousevan solmun pituus: 169,1°
Perihelin argumentti: 233,0°
Keskianomalia: -11,4°
Epookki: 2025 SEP 11 23:15:45
orbit plot

Ei-interaktiivinen kuvaaja | Interaktiivinen kuvaaja

position vs time
speed and acceleration

Larvik (LAR) cam6


gnomonic
Videot:
• Gnomoninen
• Gnomoninen koordinaateilla
• Alkuperäinen
• Alkuperäinen koordinaateilla
Kuvat:
• Gnomoninen
• Gnomoninen koordinaateilla
• Alkuperäinen
• Alkuperäinen koordinaateilla
Tekstitiedostot:
• Havaintoraportti
• Observaatio
• Koordinaatit
• Loki
Kirkkaus

Loten (LOT) cam4


gnomonic
Videot:
• Gnomoninen
• Gnomoninen koordinaateilla
• Alkuperäinen
• Alkuperäinen koordinaateilla
Kuvat:
• Gnomoninen
• Gnomoninen koordinaateilla
• Alkuperäinen
• Alkuperäinen koordinaateilla
Tekstitiedostot:
• Havaintoraportti
• Observaatio
• Koordinaatit
• Loki
Kirkkaus