🇳🇴 🇬🇧 🇩🇪 🇨🇿 🇫🇮

Meteor, poloha: Fränsta 2025-09-12 02:07:34 UTC

Soubor KML  |  Interaktivní mapa

Mapa zobrazuje dráhy meteoru. Světlejší čáry ukazují směry od pozorovacích stanic při objevení se meteoru a tmavší čáry, kde byl naposledy viděn. Modrá šipka značí viditelnou dráhu meteoru.

static map
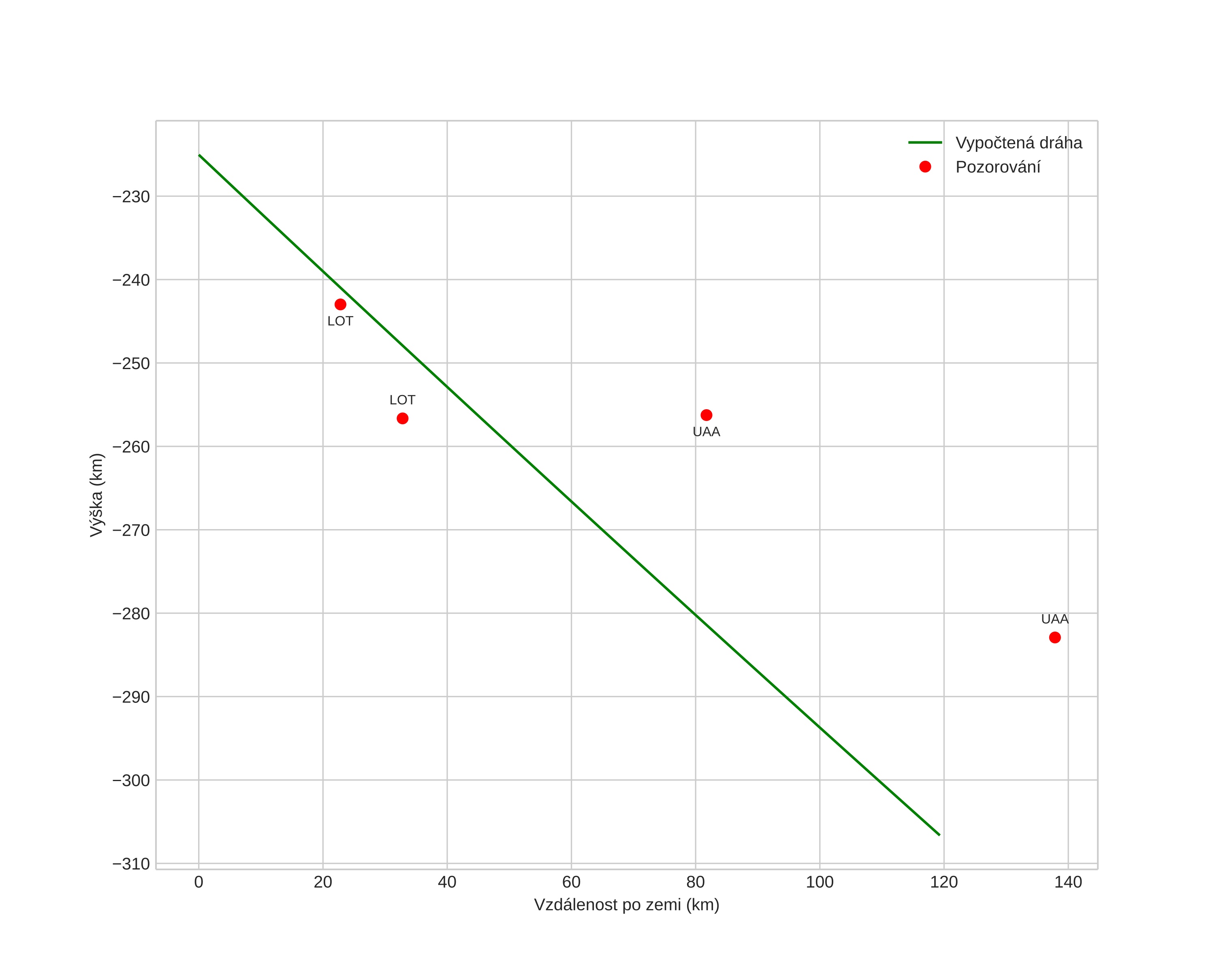
height profile
Atmosférická dráha meteoru:
Počáteční výška: -226,2 km
Konečná výška: -343,4 km
Počáteční poloha: 61,165N 15,715E
Konečná poloha: 62,330N 16,292E
Směr: 12,9°
Sklon: 41,4°
position vs time
speed and acceleration