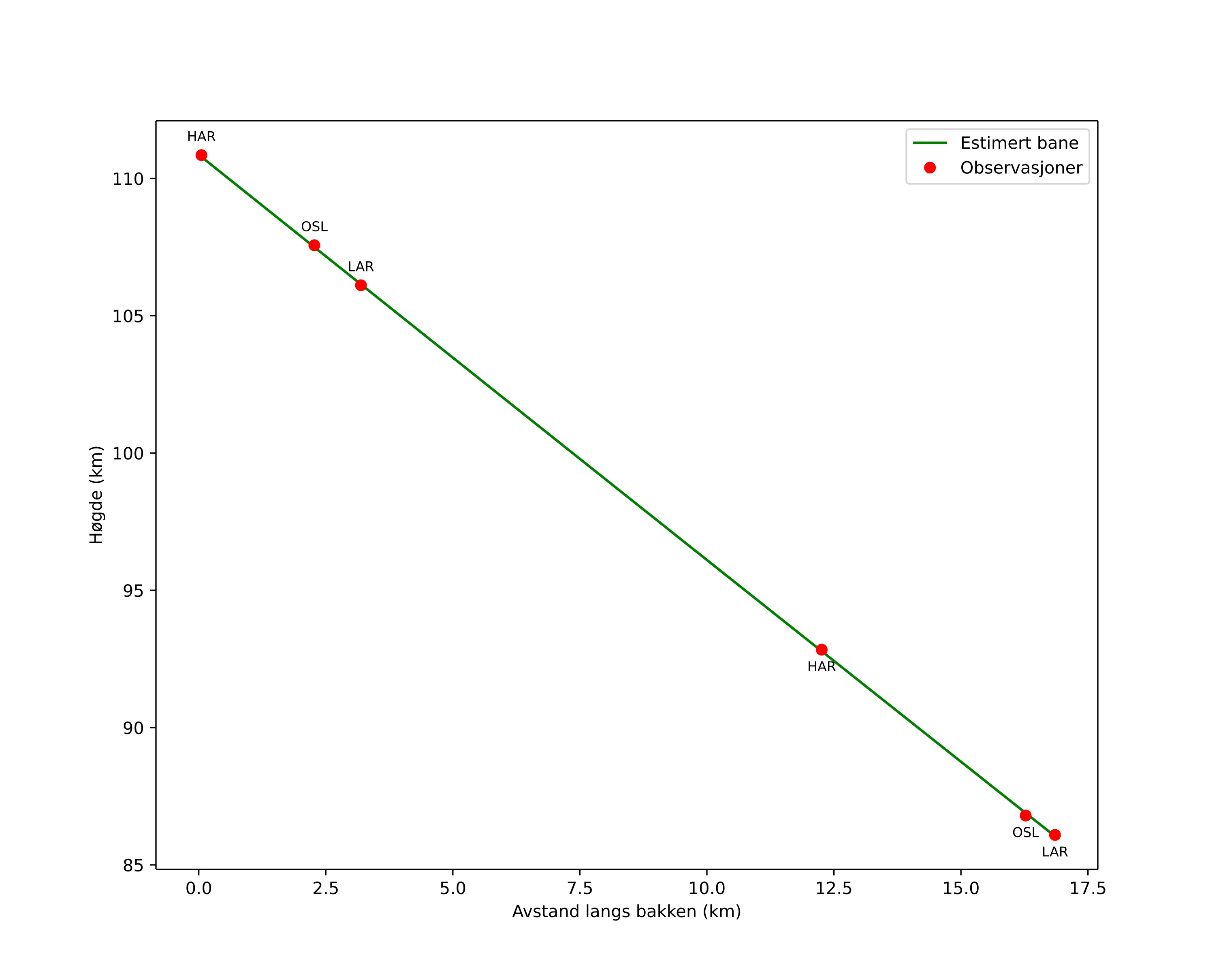
Atmosférická dráha meteoru:
| Počátečnà výška: | 110,9 km |
| Konečná výška: | 86,4 km |
| Počátečnà poloha: | 60,597N 10,191E |
| Konečná poloha: | 60,594N 9,887E |
| Směr: | 269,0° |
| Sklon: | 55,9° |
| VstupnĂ rychlost: | 73,0 km/s |
| Rektascenze radiantu: | 03:30 (52,5°) |
| Deklinace radiantu: | 46,3° |
| MeteorickĂ˝ roj: | september-epsilon-perseidene |
|
Elementy dráhy meteoroidu:
| Vzdálenost v periheliu: | 0,800 AU |
| Excentricita: | 1,726 |
| Sklon dráhy: | 132,8° |
| Délka vzestupného uzlu: | 175,0° |
| Argument perihelia: | 227,4° |
| Střednà anomálie: | -20,8° |
| Epocha: | 2025 SEP 17 23:24:31 |
|